musicalisis.es
© ACH productions

 

Josep Soler,  música

Sonidos de la noche,

Concierto para clavecín

Puedes leer el libro con el resto del artículo, además de otros análisis en «Música Española del Siglo XX, Entorno a la Generación del 51»

Introducción

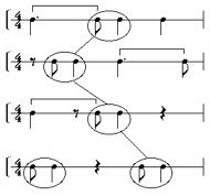
A   menudo   hemos   oido   decir   que   la   música   catalana   actual   posee   una   fuerte   influencia de   la   música   expresionista   alemana,   y   esto   resulta   ser,   a   veces,   el   punto   de   referencia para   su   descalificación,   a   pesar   de   que   dicha   circunstancia   nada   tiene   que   ver   con   la calidad   de   la   música,   ya   que   esta   no   viene   dada   por   la   afinidad   a   un   estilo   concreto, sino    por    la    capacidad    creativa.    Sobre    la    afinidad    a    esa    escuela    -    más    o    menos expresionista   -   de   la   música   catalana   tiene   mucho   que   ver   la   influencia   que   ha   ejercido nuestro   compositor,   sobre   todo   en   las   generaciones   de   compositores   que   tienen   en   la actualidad   entre   25   y   45   años,   si   bien   se   generaliza   a   menudo   en   exceso,   olvidando que   otros   compositores,   también   catalanes,   no   poseen   dicha   influencia   (caso   de   Joan Guinjoan,   Xavier   Benguerel,   Mestres   Quadreny,   etc.).   En   todo   caso,   Josep   Soler   ha demostrado   una   clara   predilección   por   el   modelo   alemán   establecido   por   Schönberg, Berg   y   Webern,   que,   a   pesar   de   la   distancia   -   tanto   temporal   como   geográfica   -,   ha hecho de dicha predilección un modelo a seguir. También   hay   que   añadir   que   Soler   ha   dedicado   buena   parte   de   su   tiempo   y   de   su   vida a   la   enseñanza   de   la   composición,   por   lo   que   dicha   influencia   ha   sido   directa   en   sus alumnos   e   indirecta   sobre   su   alrededor.   Sin   embargo,   a   menudo   se   le   ha   atribuido   una influencia   perniciosa,   y   a   esto,   quien   subscribe   este   trabajo   -   también   exalumno   -   debe responderse   negativamente   con   rotundidad   ,   añadiendo   que   si   ésta   se   ha   producido, no   es   algo   que   pueda   ser   atribuible   al   maestro.   Desde   luego,   no   recuerdo   de   mi   época de   estudiante   que   en   ningún   caso   se   forzara   a   los   alumnos   a   hacer   algo   en   lo   que ellos   mismo   no   estuvieran   de   acuerdo.   Quien   ha   sido   influído   por   su   trabajo   o   por   lo que le rodea, lo ha sido voluntariamente. Aún   así,   resulta   incluso   lógico   que   compositores   jóvenes   se   sientan   atraídos   por   la música   de   cualquier   compositor   de   fuerte   personalidad,   entre   los   cuales   se   halla,   sin duda, Josep Soler. Otra cosa es lo que sepan aprovechar de dicha influencia. Cualquier   música   refleja   la   vivencia   personal   de   cada   compositor,   siendo   este   también el   caso   de   Soler,   por   lo   que   no   resulta   extraño   que   el   mundo   de   impacto   fuera   el mundo   expresionista   y   no   cualquier   otro   medio   expresivo,   algo   normal   en   los   años   50. A   ello   ayudó   la   desinformación   y   la   influencia   wagneriana   en   la   música   catalana   de aquellos   años,   de   la   cual   es   gran   conocedor.   El   dramatismo   wagneriano   y   la   idea prerromántica   del   Sturm   und   Drang,   es   algo   presente   no   sólo   en   la   última   etapa   del compositor,    sino    en    etapas    anteriores,    ya    que    la    necesidad    de    retorno    hacia    un lenguaje   simplificado   viene   dada   por   la   necesidad   de   claridad,   junto   a   la   acentuación de    la    visión    negativa    del    entorno    "    [...]    las    ideas    parecen    venir    acompañadas    de conflictos,   situaciones   de   una   cierta   violencia   no   resuelta   que   traen   consigo   una   gran carga   de   brutalidad   a   pesar   de   su   aparente   atonía1".   Dicha   influencia   ha   hecho   que   su música   sea   de   carácter   obscuro   y   reservada   en   extremo,   de   tal   modo   que   sólo   es comprensible en su totalidad por él mismo. Ciñéndonos   al   ámbito   puramente   musical,   hay   que   decir   que   la   música   de   Josep   Soler conoce    varias    etapas,    que    si    bien    poseen    una    directa    relación    con    un    lenguaje expresionista   -   o   dicho   de   otra   manera,   germánico   -,   tienen   en   la   profundidad   de   su pensamiento    y    en    ese    casi    "culto    divino    a    la    muerte"    su    punto    de    partida:    "Más profundo    que    experimental,    el    dramatismo    innato    en    su    obra    no    deja    cabida    al humorismo"2.   Eso   es   algo   que   resulta   latente   en   los   títulos   de   sus   partituras   que,   en buen    número,    mantienen    relación    con    lo    religioso,    por    otra    parte    raro    en    un compositor que se muestra en contra de las ideas eclesiásticas. La   preocupación   del   compositor   sobre   la   predestinación   y   la   libertad,   unidos   al   culto de   lo   sobrenatural,   resultan   campo   abonado   para   la   expresividad   extrema:   "Hablar   del artista   y   de   su   creación   es   hablar   de   una   máquina   que   produce   angustia,   y   al   mismo tiempo   la   difunde"3.   Aparece   una   necesidad   casi   brutal   de   expresar   las   ideas   con claridad,   claridad   que   a   menudo   queda   oculta   en   el   magma   expresivo   de   la   obra,   y   que las   aleja   en   ciertos   casos   de   ese   objetivo   primero.   En   ocasiones   parece   disfrazarse expresamente para evitar el desnudo que quiere oculta a toda costa. Los   orígenes   de   la   música   de   Soler   deben   remontarse   a   los   estudios   realizados   con   el maestro   Taltabull,   quién   actuó   además   como   perfecto   comodín   en   la   música   catalana, propiciando   las   tres   tendencias   musicales   que   persisten   en   la   Cataluña   actual:   Josep Soler     como     representante     de     la     escuela     expresionista,     Mestres     Quadreny, representante   de   la   escuela   de   vanguardia   y   nuevas   tendencias,   y   Joan   Guinjoan, representante    de    un    mundo    intermedio    o    de    compositores    sin    afinidad    estética concreta.   Los   estudios   con   el   maestro   Taltabull   le   sirvieron   como   punto   de   partida,   y con   él   aprendió   algo   que   ha   destacado   en   toda   su   producción   musical,   y   diría   más, humana:   su   honestidad.   "Taltabull   supo,   con   una   discreción   que   sólo   puede   y   sabe poseer   un   auténtico   maestro,   suministrar   datos,   abrir   posibilidades   y   caminos   sin forzar    a    ninguno    de    sus    discípulos    a    escoger    o    seguir    ése    o    aquél"4.    Aunque posteriormente   amplió   sus   estudios   con   René   Leibowitz,   estos   no   tuvieron   verdadera significación   en   su   producción   musical,   si   bien   el   respeto   hacia   el   maestro   le   sirvió como   punto   dde   referencia   de   su   pensamiento   musical   posterior:   "Leibowitz   significó, con   su   carismática   personalidad,   la   promulgación   de   unos   imperativos,   no   estéticos sino   éticos:   la   claridad   de   la   ordenación   del   material   musical   y   un   estricto   sentido   del orden y la estructura que debe presidir la construcción del andamiaje musical"5. A   pesar   de   sus   enormes   dotes   de   compositor   -   sus   primeras   obras   datan   de   los   13 años   -   no   fue   sino   el   año   1956   cuando   Josep   Cercós   estrenó   sus   Dos   piezas   para   piano en   un   concierto   restringido,   siendo   en   realidad   el   año   1960   el   año   de   su   primer   estreno real   con   público.   La   obra   fue,   en   esa   ocasión,   Danae.   Es   precisamente   a   partir   de   ese año   en   el   que   empieza   la   verdadera   carrera   compositiva   de   Soler   -   con   los   estudios con    Taltabull    -,    y    en    el    que    se    inicia    su    primera    etapa,    que    será    eminentemente dodecafónica.   El   estreno   de   esa   primera   obra   fue   motivo   de   polémica   en   una   ciudad poco   acostumbrada   a   la   música   de   vanguardia,   anclada   entre   una   escuela   wagneriana y   otra   nacionalista:   "La   obra   de   José   Soler,   Danae,   no   tuvo   el   más   mínimo   éxito,   lo   cual es   sensible   por   varias   razones.   La   obra   es   puramente   dodecafónica   y,   por   lo   tanto,   de difícil captación para el público en una sola audición"6. A   pesar   de   ser   un   compositor   de   hoy,   no   se   puede   hablar   de   Josep   Soler   como   un músico   de   vanguardia,   pues   su   lenguaje   musical   no   resulta   novedoso   -   aunque   sí   en   la Barcelona   de   aquellos   días   -,   ya   que   el   lenguaje   dodecafónico   era   ya   algo   dejado   de lado   en   los   años   60   por   un   buen   número   de   compositores   y   discípulos   de   la   escuela de   Viena,   a   lo   que   hay   que   añadir   el   hecho   de   que   el   mismo   compositor   opina   que   la vanguardia   es   algo   artificial   y   nada   lógico:   "Schönberg   no   es   un   revolucionario   ni menos   un   vanguardista,   es   un   producto   de   la   evolución   y   un   resultado   lógico   de   ésta"7. La   justificación   del   lenguaje   -   eminentemente   dodecafónico   -   de   esa   primera   etapa   se debe   sobre   todo   a   una   necesidad   de   expresión   interna   sin   cálculo   premeditado,   y   en   el que   se   usa   la   serie   en   su   absoluta   desnudez   sin   apenas   utilizar   los   medios   habituales de   su   combinación   -   retrogradación,   inversión,   transposición,   etc.   -;   la   música   para   el compositor   era,   en   esa   primera   etapa,   una   necesidad   de   expresión   pura,   en   la   que   el material   resultaba   algo   superfluo   y   de   segundo   orden:   "El   verdadero   artista,   llevado por   su   necesidad   interior,   sabe   y   tiene   conocimiento   de   que   realiza   y   emite,   pero   no sabe   qué;   el   camino   se   crea   al   crearse   la   obra   y   ésta,   al   aparecer,   crea   también   su propio   lenguaje.   Pero   ese   lenguaje   no   se   escoge,   no   se   busca,   se   halla   y,   existiendo   se constituye a sí mismo como emisor"8. Con   esa   visión   del   mundo   musical   que,   en   ocasiones,   transmite   con   la   seguridad   de que   ese   es   el   mundo   absoluto   -   algo   que   puede   ser   discutible   -   el   uso   de   determinados gestos   musicales   y   de   determinadas   orientaciones   filosóficas   en   su   música   se   hallan siempre   unidas   al   uso   e   influencia   de   determinados   gestos   musicales,   que   tienen íntima   relación   con   obras   que   resultan   ser   punto   de   partida   para   la   construcción   de   su propio   modelo   compositivo   "   Las   afinidades   de   Soler   con   la   música   de   los   maestros que   son   más   cercanos   se   muestran   a   menudo   en   forma   de   citas   textuales   o   bien   con la   incorporación   de   referencias   más   veladas   en   el   terreno   de   la   instrumentación   o   de determinados aspectos motívicos y dramáticos"9. Josep   Soler   utiliza   estos   gestos   con   absoluta   libertad,   repitiendo   lo   que   considera necesario   y   dejando   de   lado   la   posible   consideración   de   copia.   Por   tanto,   lejos   de resultar   banal,   su   música   se   articula   desde   presupuestos   expresivos   de   influencia externa   directa   y   visceral,   en   la   que   el   argumento   de   copia   va   mucho   más   lejos   del solo   hecho   de   plasmar   en   esa   repetición   -   a   veces   literal   -   una   confluencia   estilística, siendo   esta   el   reflejo   filosófico-espiritual   que   rige   las   ideas   y   el   espíritu   creativo   del compositor.    Por    otra    parte,    existe    en    Soler    un    empeño    en    mantener    una    actitud negativa   de   la   visión   del   mundo   actual   -   a   menudo   excesivamente   realista   -,   algo   que se   refleja   en   sus   escritos   y   en   su   pensamiento   compositivo,   en   el   que   a   menudo   se denosta   una   dirección   de   la   música   y   una   tendencia   compositiva   ocultando   un   gusto musical   que   niega   todo   lo   que   le   resulta   ajeno.   Quizá   sea   esto   último   lo   que   le   hace ser criticado por los compositores que no comparten el mismo punto de vista. Josep Soler: Réquiem (1974). Ejemplo 1 La   visión   del   mundo   de   la   composición   es   para   Josep   Soler,   en   líneas   generales, escéptica,   aunque   en   algunos   casos   probablemente   no   le   falte   razón,   a   pesar   de   que   a menudo    peque    del    exceso    emotívico    del    momento,    algo    que    en    el    año    1982    se traducía   en   la   siguiente   afirmación:   "   Ser   compositor,   significa   producir   algo   que,   en   las altas   esferas,   no   interesa   prácticamente   a   nadie,   significa,   en   el   mejor   de   los   casos,   ser un    personaje    tolerado    del    que    aproximadamente    cada    diez    años    algún    resignado director   de   orquesta   interpretará   alguna   obra   siempre   con   la   recomendación   de   que ésta   sea   lo   más   breve   posible,   que   no   sea   difícil,   que   no   presuponga   aumentos   en   la orquesta y que no plantee ningún problema [...]"10. Estas    palabras    pueden    resultar    duras,    pero    reflejan    claramente    la    inquietud    y perplejidad   del   compositor   por   una   sociedad   que   hace   caso   omiso   del   arte,   en   pro   del favoritismo   de   cualquier   índole:   "Nadie   ignora   que   vivimos   en   una   situación   difícil,   y que    esta    dificultad    no    es    de    ahora,    sino    de    cuarenta    años    atrás;    escribir    música durante   estos   años   ha   significado   un   largo   calvario   para   muchos   (y   ese   calvario   aún sigue)   y   un   camino   muy   fácil   para   unos   pocos:   la   historia   es   la   que   deberá   decidir sobre   las   complacencias,   de   tipo   político   o   amistoso   de   unos,   o   sobre   los   caminos cerrados   que   tantos   otros   han   hallado   ante   sí;   la   falta   total   de   planificación   y   el   hecho de   que   nunca   se   ha   considerado   algo   que   debería   integrarse   orgánicamente   dentro   de un   más   amplio   campo   que   es   el   de   las   artes   y   el   hecho   de   que   éste   haya   siempre dependido,   durante   los   largos   años   de   la   postguerra,   de   los   caprichos,   las   aficiones   o los   odios   de   determinados   personajes   dueños   del   mundo   musical,   aunque   siempre con rango de sub [...]"11. Ante    ese    panorama    -    trascendental    en    la    visión    de    su    mundo    compositivo    -    de conflictividad   de   ideas,   su   música   no   puede   ser   otra   más   que   la   puramente   expresiva. De   ello   nos   vamos   a   ocupar   seguidamente,   intentando   desentrañar   lo   interno   de   su música, además de mostrar su procedimiento de trabajo. LENGUAJE MUSICAL Anteriormente   se   ha   ya   apuntado   la   base   del   lenguaje   utilizado   en   su   primera   época compositiva,   y   que   es,   en   definitiva,   la   que   marcará   un   paso   progresivo   hacia   el   futuro actual.   El   lenguaje   musical   de   Soler   es   meramente   expresionista,   y   por   tanto   sus inicios   son   también   expresionistas,   con   un   uso   del   medio   dodecafónico   muy   estricto   y del   cual   no   habrá   parangón   en   ningún   otro   compositor   español   de   este   siglo12.   El   uso del   dodecafonismo   en   Soler   es   sin   embargo   simple,   apenas   se   aparta   de   un   uso   de   la serie    sin    sus    combinaciones    habituales,    es    decir,    retrogradaciones,    inversiones, transposiciones,   etc.,   incluso   una   obra   de   la   envergadura   de   la   ópera   Edipo   y   Yocasta fue   escrita   sobre   una   única   serie   sin   ningún   artilugio   contrapuntístico   -,   a   excepción, por   supuesto,   de   la   mera   imitación   -.   Sin   embargo,   no   todas   sus   obras   mantienen   un rasgo   estilístico   tan   férreo,   y   algunas   de   ellas   se   articulan   a   partir   de   elementos   de tipo    atonal    en    los    que    la    serie    aparece    más    como    un    medio    y    excusa    para    la uniformidad del material que como material de uso propiamente dicho. Ahora   bien,   si   el   lenguaje   dodecafónico   y   atonal   en   su   obra   se   prolonga   hasta   el   año 1975,   poco   se   habla   de   él   en   textos,   artículos,   libros,   etc.,   dando   a   este   como   por entendido,   sin   necesidad   de   alusión   alguna;   sin   embargo   mucho   más   se   habla   del procedimiento   que   a   partir   del   año   1975   sería   la   base   de   su   elaboración   compositiva, algo   que   quedaría   reflejado   en   buena   parte   de   su   obra:   el   uso   del   acorde   del   Tristán   de Wagner:   "Desaparecido   un   idioma,   el   artista,   el   compositor   que   intente   proseguir,   a pesar    de    todo,    su    labor    supuestamente    creadora,    tiene    que    organizar    su    propia posibilidad   de   hablar   con   las   palabras   que   sean   y   con   las   técnicas   que   para   él   le permitan   articular   la   operación   difícil   y   compleja   ahora   más   que   nunca   de   componer sus músicas"13. Ejemplo 2 12   En   Madrid,   Ramón   Barce   ha   sido   considerado   el   compositor   puente   que   parte   de   la música   expresionista   hacia   la   de   nueva   formulación.   La   distinción   entre   ambos,   es   sin embargo,   que   la   música   de   Soler   es   meramente   expresiva,   y   parte   de   presupuestos cercanos   a   los   de   Schönberg   y   Alban   Berg,   mientras   que   los   de   Ramón   Barce   parten de   ideas   y   procedimientos   de   síntesis   vinculados   al   mundo   compositivo   de   Anton Webern. Del   mismo   modo   que   en   obras   anteriores   se   utilizaban   medios   e   incluso   fragmentos literales    de    obras    que    resultaban    impactantes    al    compositor    (ejemplo    1),    en    esta ocasión   ese   medio   aparece   como   un   punto   de   partida   para   la   elaboración   del   discurso compositivo   que   se   irá   acrecentando   a   lo   largo   del   tiempo,   llegando   a   crear   todo   un sistema   a   partir   de   él.   El   mismo   Josep   Soler   cita:"[...]   el   hallazgo   de   su   peculiaridad forma   de   organizar   su   armonía,   es   decir,   el   color   propio   de   sus   agregaciones   sonoras, en   una   palabra,   de   su   música,   surgió,   muy   lentamente,   no   por   su   voluntad   sino   por   la insistente   presencia   de   la   que   él   tardó   años   en   ser   consciente,   de   un   determinado acorde   que   confería   un   color   muy   concreto   a   su   música   [...]".14   Ese   "hallazgo"   se   da   en algunas   obras   de   forma   muy   concreta15,   y   a   veces   tiene   una   presencia   abrumadora, como   la   aparecida   en   el   final   del   tercer   cuarteto   de   cuerdas,   en   la   que   este   aparece   en forma de coral y cromáticamente. Ejemplo 3 Pese   a   la   apariencia   de   lo   expuesto   (que   puede   resultar   paradójico   o   pobre   para   el lector),   el   lenguaje   y   su   puesta   a   punto   no   es   ni   mucho   menos   el   de   la   simplicidad externa   que   puede   deducirse   de   su   comentario,   sino   que   su   elaboración,   su   exquisitez instrumental   y   los   elementos   de   desarrollo   que   tienen   su   base   de   articulación   en   el contrapunto   de   Max   Reger   -   de   influencia   directa   en   Taltabull   y   heredado   en   Josep Soler   -   son   de   enorme   elaboración,   si   bien   coexisten   en   un   mundo   recreado   en   la intuición y la expresión directa: "El   chorro   creador,   portador   de   los   elementos   nuevos   proviene   de   un   impulso,   ajeno en     su     totalidad,     y     sólo     la     forma     es     algo     humano;     el     contenido     se     escapa absolutamente   a   la   voluntad   caso   de   que   ésta   pretenda   imponerse   o   condicionar   el resultado final [...]"16. Va   a   ser   precisamente   la   forma   y   los   procedimientos   de   elaboración   del   material sonoro   que   el   compositor   utiliza   lo   que   aquí   vamos   a   analizar,   con   tal   de   poder conseguir   de   ese   modo   acercarnos   a   los   procedimientos   lingüisticos   de   su   discurso organizativo.   Dicho   análisis   se   va   a   realizar   sobre   tres   obras   antagónicas.   Dos   de   ellas mantienen   una   proximidad   en   la   fecha   de   su   composición,   pero   son,   en   realidad, absolutamente   distintas   entre   sí.   Pertenecen   a   la   primera   etapa   -   dodecafónica   -: Sonidos   de   la   noche   y   Concierto   para   clavecín,   y   la   tercera   pertenece   al   período   de   uso del   acorde   de   Tristán:   Le   Christ   dans   la   banlieue,   de   la   ópera   "La   Tentation   de   Saint Antoine".   La   densidad   de   la   última,   así   como   su   longitud,   no   va   a   hacer   posible   un análisis     pormenorizado     compás     a     compás,     retringiéndonos     a     lo     que     resulta imprescindible para la comprensión de su lenguaje. SONIDOS DE LA NOCHE LA OBRA Aunque   "Sonidos   de   la   noche"   y   el   "Concierto   para   clavecín"   fueron   escritas   durante   el mismo   año   (1969),   guardan   entre   sí   una   diferencia   lingüistica   que   observaremos   a continuación   con   detenimiento.   Sonidos   de   la   noche   es   una   obra   rara   en   el   corpus compositivo   de   Soler,   sobre   todo   para   el   oyente   acostumbrado   a   oír   la   música   actual del   compositor.   Aunque   su   connotación   de   oscuridad   queda   reflejada   en   su   propio título,    cabe    destacar    sin    embargo    su    carácter    lúdico,    algo    nada    habitual    en    la producción   musical   del   compositor.   Esta   obra   resulta   ser,   además,   una   de   las   que   le han    proporcionado    mayor    reconocimiento    internacional,    habiendo    sido    grabada    y ejecutada    por    intérpretes    en    todo    el    mundo.    La    obra    utiliza    un    grupo    de    6 percusionistas con un buen número de instrumentos: I. Vibráfono, 5 Temple blocks , y un Crótalo afinado en Sol. II. Marimba, Tam-tam, 4 cencerros y 2 congas. III. Plato y 2 Wood-blocks. I. Campanas, Tam-tam, Maracas y Gong en agua. V. Plato y Xilófono. VI. Plato, lira, flexatón y Güiro. Sólo   los   percusionistas   I,   II,   IV   y   V   poseen   instrumentos   capaces   de   producir   sonidos afinados   (el   flexatón   también   puede   realizarlos,   aunque   aquí   es   utilizado   únicamente como   instrumento   de   afinación   indeterminada),   lo   que   delimita   el   campo   de   acción melódica a dichos instrumentos. De   algún   modo,   la   obra   mantiene   la   idea   de   organización   temática   -   en   este   caso dodecafónica    -    que    Edgar    Varèse    empleara    en    su    obra    para    trece    percusionistas Ionisation,   e   incluso   sorprende   observar   gestos   que   son   de   cierto   semblante   a   los aparecidos   en   aquella   -   uno   de   ellos   es   el   de   los   trémolos   en   los   instrumentos   de metal   -.   Si   bien   en   el   caso   de   Varèse,   el   uso   rítmico   se   halla   por   encima   del   melódico   - en   Ionisation   no   utiliza   ningún   instrumento   de   sonido   determinado,   a   excepción   del final,   en   el   que   los   utiliza   como   instrumento   de   sonido   indeterminado   -.   De   cualquier modo,   la   obra   de   Soler   se   halla   cercana   a   la   idea   programática,   sobre   todo   en   el   uso de   la   combinatoria   instrumental.   Para   Soler   la   organización   serial   se   halla   en   un estadio   superior   a   la   rítmica,   siendo   esta   la   que   rige   a   modo   de   idea   temática   todas   las relaciones   y   combinaciones   de   los   instrumentos.   Aunque   la   combinación   de   la   serie   no resulta   clara   en   primera   instancia   -   debido   sobre   todo   a   la   fragmentación   serial   -   sí   lo es   en   las   partes   en   solo   de   cada   uno   de   los   instrumentos   de   sonido   determinado. Vayamos   a   observar,   en   primer   lugar,   la   combinación   formal   utilizada   en   esta   pequeña pieza. COMPOSICION FORMAL No    parece    haber    empeño    en    el    compositor    de    considerar    la    forma    como    algo importante   a   priori,   sino   más   bien   una   consecuencia   lógica   de   la   combinación   y   el desarrollo    de    la    serie.    No    obstante,    en    el    análisis    minucioso    de    la    partitura    nos encontramos   con   una   utilización   del   material,   que   aunque   no   ha   sido   controlado   a priori,   manifiesta   claramente   una   combinación   simétrica.   No   sólo   existe   una   idea   de simetría   y   de   acumulación   sonora,   sino   que   también   aparece   una   distribución   formal de   tipo   áureo,   que   puede   deberse,   por   otra   parte,   a   la   casualidad.   Hay   que   aclarar,   sin embargo,    que    la    combinación    formal    áurea    no    ha    sido    utilizada    -    por    lo    menos conscientemente   -   en   ninguna   de   sus   obras,   a   pesar   de   que   con   ella   realizó   el   análisis del   Concierto   para   percusión,   cuerdas   y   celesta   de   Béla   Bártok17,   tomándola   además como base de su constitución formal. Esta   distribución   áurea   -probablemente   inconsciente   -   tiene   su   punto   álgido   en   el compás   40,   compás   que   sirve   de   principio   de   la   condensación   melódica   en   todos   los instrumentos,   a   la   vez   que   final   del   corto   obstinato   rítmico.   Casualidad   o   no,   es   algo que   a   menudo   va   unido   a   la   creación,   en   la   que   el   creador   no   controla   todo   el   hecho musical     en     sí,     si     bien     ello     es     el     resultado     del     pensamiento     interno,     que inconscientemente   controla   a   lo   externo   "La   teoría   de   la   forma   puede   tener   como punto   de   mira,   y   en   primer   lugar,   observar   la   significación   de   la   forma   artística   -   el hecho   que   intenta   dotar   al   producto   artístico   de   una   constitución   externa   e   interna, permitiendo    reconocerlo    como    algo    que    corresponde    a    la    calidad    de    nuestro intelecto"18. La   obra   se   articula   en   un   continuo   crescendo,   que   parte   desde   un   tiempo   lento   -   a modo   de   plataforma   textural   -   que   sirve,   a   su   vez,   de   preparación   de   la   entrada   de   la melodía    serial    iniciada    por    las    campanas    -    que    son,    por    otra    parte,    de    afinación imprecisa   y   de   compleja   audición   -.   En   este   inicio   no   aparece,   sin   embargo,   la   serie completa,   sino   que   esta   lo   hace   a   modo   de   balbuceo   sobre   las   notas   y   combinaciones interválicas   propias   de   aquella,   que   serán   las   que   constituirán   y   establecerán   la   serie   a partir   del   compás   número11,   mediante   el   uso   de   los   solos   instrumentales   de   los percusionistas   I,   II   y   IV,   mediante   la   combinación   de   instrumentos   de   metal-madera- metal   (vibráfono-marimba-campanas).   Obsérvese   cómo   se   articula   el   proceso   formal a lo largo de toda la pieza: Ejemplo 4 En   el   ejemplo   se   han   realizado   dos   gradaciones   formales,   por   una   parte   la   distribución de   la   forma   (primer   plano)   y   por   otra   la   de   la   combinación   instrumental   (segundo plano).   Dicha   combinación   se   articula   sobre   la   base   de   la   simetría,   al   igual   de   lo   que sucede    en    la    forma.    Obsérvese    el    hecho    de    que    únicamente    en    la    parte    central (compases   31   a   40)   se   utiliza   un   movimiento   rítmico   claro,   que   se   traduce   en   un ostinato   en   los   wood-blocks,   algo   que   no   se   repetirá   de   nuevo   a   lo   largo   de   toda   la obra.    Esta    termina    en    una    coda    conclusiva,    en    la    que    existe    un    retorno    al    uso instrumental   del   inicio,   descartando   el   uso   de   los   instrumentos   de   madera   y   utilizando por primera y única vez un Gong que se sumerge en el agua. También   el   uso   serial   mantiene   un   cierto   equilibrio   en   la   totalidad   de   la   forma,   de   tal modo   que   en   los   dos   fragmentos   iniciales   se   mantiene   la   primera   serie   (ejemplo5   );   en los   fragmentos   intermedios   aparece   una   serie   nueva,   y   en   los   dos   últimos   va   a   ser   una serie   derivada   de   la   segunda   la   más   utilizada,   si   bien   estas   se   van   a   combinar   entre   sí. Vayamos   a   observar   de   forma   más   clara   cómo   se   articulan   dichas   series,   junto   a   los procedimientos de seccionamiento modular. USO DODECAFONICO Soler   va   a   utilizar   tres   series   a   lo   largo   de   toda   la   obra,   en   las   que   únicamente   entre   la tercera   y   la   segunda   va   a   haber   una   relación   clara,   si   bien   algún   intervalo   se   repite   en todas ellas: Ejemplo 5 El   intervalo   común   entre   sí   es   el   Re-Lab,   es   decir   el   tritono   que,   además,   sirve   de   inicio tanto de la primera como de la tercera serie: Ejemplo 6 La   relación   entre   la   serie   segunda   y   tercera   es   de   desplazamiento   horizontal.   En   todo caso,   lo   verdaderamente   difícil   es   determinar   cuál   de   las   dos   es   la   que   realmente   rige el   fragmento,   si   bien   probablemente   el   hecho   de   que   la   primera   y   tercera   utilicen   el mismo   intervalo   inicial   es   lo   suficientemente   determinante   como   para   decir   que   son estas   las   principales,   siendo   la   segunda   un   desplazamiento   o   anticipación   horizontal de    la    última.    En    todo    caso,    ello    confirma    la    connotación    de    simetría    de    la    que hablábamos en el apartado dedicado a su forma. Remitiéndonos   al   encadenamiento   interválico,   el   uso   de   intervalos   con   relación   de tritono     es     elevada.     De     hecho,     esta     relación     constituye     buena     parte     de     los procedimientos   de   encadenamiento   melódico   de   toda   la   obra,   y   son   precisamente   este tipo   de   relaciones   las   que   le   confieren   un   carácter   dramático   de   talante   expresionista. Las   series   segunda   y   tercera   mantienen,   además,   una   relación   interválica   en   la   que   la mitad   de   los   intervalos   son   de   tritono,   de   tal   modo   que   cada   uno   de   ellos   se   une   al otro   mediante   un   intervalo   variable   y   de   combinación   simétrica.   Obsérvese   la   utilizada por la serie número 3: 6 - 1 - 6 - 3 - 6 - 1 - 6 - 4 - 6 - 1 - 6 Incluso   las   relaciones   de   tritono   llegan   a   generar   un   acorde   disminuido   desplegado horizontalmente   mediante   la   superposición   de   tritonos.   Sin   embargo,   si   bien   las   series aparecen   claramente   en   los   solos,   en   la   parte   inicial   estas   lo   hacen   únicamente   con elementos simples que son, además, fragmentación de la propia serie. En   el   ejemplo   7   se   muestra   la   parte   introductoria   hasta   el   compás   11,   donde   aparece   la primera    serie    completa.    La    combinación    serial    que    sigue    Soler    aquí    es    ardua    y compleja,   y   lo   que   queda   claro   es   el   hecho   de   que   esta   parte   introductoria   se   nutre   del uso   de   elementos   interválicos   relacionados   con   ella,   a   pesar   de   que   sólo   aparezca   una vez completa y combinada entre las campanas y la marimba. Ejemplo 7 Si   bien   este   principio   puede   parecer   el   anuncio   de   una   compleja   combinación   melódica, lo   que   continúa   va   a   ser   de   hecho   mucho   más   claro,   de   tal   modo   que   las   series   van   a hacer   aparición   de   forma   más   evidente.   La   culminación   de   dichas   apariciones   se   va   a dar   en   el   compás   42   y   siguientes.   En   ella   aparece   una   superposición   simultánea   de   las series   segunda   y   tercera   -   que   son,   en   realidad,   la   misma   -,   empezando   en   cada   uno   de los instrumentos mediante una nota distinta. En   esta   combinación   interválica   (ejemplo   8),   que   resulta   ser   la   más   rica   de   toda   la obra   -   la   longitud   de   esta   es   limitada,   y   al   tratarse   de   instrumentos   de   percusión también    es    limitado    su    uso    -,    existen    una    serie    de    errores    o    deslices    en    el    uso dodecafónico   que   cabe   resaltar.   Tampoco   hay   que   enfatizar   ni   exagerar   excesivamente sobre   ellos,   ya   que   de   hecho   la   serie   es   tratada   a   lo   largo   de   toda   la   obra   con   cierta libertad,    por    lo    que    estos    deslices    quedan    integrados    dentro    de    una    textura dodecafónica    en    la    que    no    es    posible    detectar    externamente    los    errores,    y    sólo resultan visibles en su análisis técnico. Ejemplo 8 El   primero   de   dichos   errores   se   halla   en   el   percusionista   cuarto,   al   cual   le   falta   el sonido   número   1   cuando   repite   de   nuevo   la   serie   (señalado   en   el   ejemplo   con   un rectángulo).   El   segundo   lo   tenemos   en   el   percusionista   5,   que   en   el   sonido   número   5 utiliza   la   nota   Re   en   lugar   de   Mi,   que   sería   la   nota   correspondiente   (señalado   con   un círculo).   En   el   sexto   percusionista,   Soler   realiza   una   combinación   interválica   en   la   que las    notas    de    la    serie    aparecen    tras    la    repetición    de    otras    notas    ya    utilizadas anteriormente. RITMO Y TEXTURA Algo   que   resulta   paradójco   al   estudiar   la   partitura,   es   el   hecho   de   que   Soler   no   utiliza ningún   elemento   rítmico   como   medio   para   crear   un   juego   dinámico   o   de   cualquier otra   índole,   sino   que   únicamente   usa   la   masificación   instrumental   como   medio   para llegar   a   las   culminaciones   estructurales   de   la   obra.   Sólo   en   el   compás   32   existe   un atisbo   de   utilizar   un   elemento   rítmico,   aunque   en   realidad   se   trata   de   un   ostinato sobre    un    ritmo    fijo    de    dos    semicorcheas-corchea    que    dura    siete    compases    sin repetirse   de   nuevo.   El   ritmo   es   aquí,   para   Soler,   poco   significativo   -   aunque   pueda parecer   extraño   el   hecho   de   que   en   un   grupo   instrumental   de   sólo   instrumentos   de percusión    no    se    utilice    el    ritmo    como    elemento    de    contraste    -.    Para    crear    dicho contraste,   Soler   utiliza   dos   medios   de   articulación   rítmica:   un   movimiento   de   notas tenidas,    mediante    el    uso    de    trémolos    y    trinos    sobre    el    mismo    instrumento    - normalmente   utilizado   en   los   instrumentos   de   gran   resonancia   (platos,   vibráfono,   etc.) -   y   un   despliegue   melódico   que   utiliza   básicamente   el   movimiento   rítmico   de   tresillo   y pulsación   binaria.   No   hay   un   orden   que   establezca   prioridades   o   medios   de   acción,   sino que   este   depende   siempre   de   las   necesidades   expresivas   del   momento.   Lo   que   prima por   encima   de   todo   es   el   uso   interválico   -   la   serie   -,   siendo   el   ritmo   una   necesidad   de escritura. Esta    formulación    serial    va    a    ser    también    la    utilizada    como    medio    básico    en    el Concierto   para   clavecín,   estructurándose   la   articulación   melódica   de   este   a   partir   de ella.   La   diferencia   entre   una   y   otra   obra   radica   básicamente   en   el   hecho   de   que   el carácter   es   absolutamente   distinto   entre   sí,   algo   que   tiene   que   ver   directamente   con   la instrumentación   utilizada   y   que   resulta   ser   además   antítesis   entre   una   y   otra   obra; mientras   en   Sonidos   de   la   noche   existe   una   cierta   imposibilidad   melódica   debida   al uso   de   los   instrumentos   de   percusión   que   la   limitan,   en   el   concierto   de   Clave   -   a excepción    del    instrumento    solista    -    los    instrumentos    pueden    utilizar    las    líneas melódicas de forma claramente cantabile. CONCIERTO PARA CLAVECIN El   concierto   para   clavecín   se   articula   en   un   solo   movimiento,   si   bien   en   él   se   integran el   concepto   rápido-lento-rápido,   típico   de   los   conciertos   barroco   y   clásico   de   tres tiempos.    Este    concierto    -    una    de    las    obras    más    conocidas    de    nuestro    insigne compositor   -   utiliza   una   instrumentación   prácticamente   idéntica   a   la   del   Concierto para   clavecín   de   Falla,   al   que   irremediablemente   hay   que   acudir   como   referencia   a   la hora    de    escribir    un    concierto    para    dicho    instrumento.    Si    bien    el    concepto    y    la organización   del   Concierto   de   Soler   nada   tienen   que   ver   con   el   de   Falla,   mantiene   con él   la   misma   idea   de   movimiento   y   articulación   fornido   de   figuraciones   rápidas   de   tipo concertante,   algo   ya   utilizado   por   los   compositores   barrocos.   A   ello   hay   que   añadir   el hecho   de   que   la   obra,   escrita   43   años   después   del   Concierto   de   Falla,   es   de   algún modo   un   homenaje   a   la   grandiosidad   creativa   de   uno   de   los   compositores   españoles más reconocidos. DISPOSICION FORMAL El   concierto   para   clavecín   se   articula   mediante   una   organización   formal   que,   a   primera vista,    puede    parecer    incoherente    e,    incluso,    sin    aparente    organización,    ya    que    la repetición   de   los   modelos   dodecafónicos   y   rítmicos   son,   a   lo   largo   de   toda   la   obra, siempre   distintos   -   sobre   todo   los   últimos   -,   en   los   que   únicamente   el   cambio   de tempo   ayuda   a   diferenciar,   condensar   o   alargar   el   movimiento   melódico   de   la   serie. Sin   embargo,   al   examinar   más   detenidamente   la   obra   se   observa   un   proceso   de encadenamiento   formal   -   creemos   intuitivo   -   que   se   emparenta   absolutamente   con   la idea   del   concierto   clásico,   sobre   todo   en   lo   referente   al   uso   de   dos   ideas   contrastantes que,   aunque   aquí   no   pueden   ser   denominadas   como   tema,   son,   sin   embargo,   cabeza de    fragmentos    importantes.    La    primera    de    dichas    ideas    (A)    -    que    será    la    que gobernará   el   resto   de   la   obra   -   es   la   introducida   por   el   clave   con   un   movimiento   en forma de arpegiado: Ejemplo 9 La    segunda    idea    (B),    es    la    ejecutada    por    los    instrumentos    de    viento,    que    son respondidos   con   una   idea   semejante   por   los   de   cuerda.   En   este   caso   el   movimiento   es precisamente   contrario   a   la   primera   idea,   es   decir,   una   idea   de   notas   largas   y   de   gran expresividad.   El   contraste   entre   ambos   grupos   es   evidente   (ejemplos   9   y   10),   incluso en   el   acompañamiento   instrumental   inicial.   Por   supuesto,   hay   un   uso   condicionado por   el   instrumento   solista,   el   cual   resulta   ideal   para   movimientos   rápidos,   aunque poco   aconsejable   para   fragmentos   con   notas   tenidas,   ya   que   la   resonancia   de   sus cuerdas se apaga de inmediato. Ejemplo 10 Es    evidente    que    en    una    música    que    responde    a    ideas    de    desarrollo    sobre configuraciones   de   tipo   dodecafónico   como   la   que   aquí   tratamos,   no   queda   claro   al cien   por   cien   la   definición   de   dichos   fragmentos   como   ideas   contrastantes   de   tipo temático,   e   incluso   el   lector   puede   pensar   que   dicha   definición   es   pura   conjetura.   Sin embargo,   el   hecho   de   que   ambos   fragmentos   resulten   ser   el   inicio   de   un   tempo distinto,   y   que   posean   -   cada   uno   de   ellos   -   un   número   cerrado   de   cuatro   compases,   lo convierte    en    trascendental    en    el    discurso    global    de    la    obra,    ya    que    resultarán claramente   audibles   como   tales.   Si   observamos   la   distribución   formal   que   Soler   hace a   lo   largo   del   concierto   (ejemplo   11),   veremos   que   existe   una   cierta   connotación   de forma   sonata   en   su   estructuración,   si   bien   no   se   repite   ninguno   de   los   fragmentos   de forma   literal   -   únicamente   la   serie   se   repite   a   lo   largo   de   toda   la   obra   -,   siendo   esta   la única salvedad para no convertirse en tal. En   el   ejemplo   11   aparece   con   claridad   una   combinatoria   de   espacio   temporal   en   dos direcciones:   la   horizontal,   que   observa   dos   ideas   distintas,   que   son,   a   su   vez,   las   ideas temáticas   que   rigen   la   obra;   la   vertical:   que   regula   la   combinatoria   del   proceso   formal, también     en     dos     grupos     articulados     y     encadenados     uno     tras     otro     que     se complementan   entre   sí.   Por   una   parte,   las   ideas   temáticas   que   son   desarrolladas   tras el   primer   grupo   cadencial   (compases   98   a   255)   se   articulan   del   mismo   modo   que   en el   inicio,   es   decir,   utilizando   la   combinación   de   grupos   de   importancia   distintos.   En   la exposición   temática   el   orden   era   clave-instrumentos,   y   en   el   grupo   de   desarrollo   es instrumentos-clave.   Por   otra   parte,   los   grupos   cadenciales   se   encadenan   siempre   tras los    de    exposición    y    desarrollo    temático    y    a    modo    de    material    intermedio,    pero siempre   cadencial.   En   el   primer   grupo   coexiste,   además,   una   simetría   cadencial,   en   la que se inicia con cadencia y se termina con cadencia (compases 71 a 98). Ejemplo 11 Resulta   curioso   observar   también,   que   el   encadenamiento   formal   y   su   distribución siempre   tienen   que   ver   con   alguna   culminación   instrumental,   ya   sea   utilizando   una masificación   textural   -   de   igual   modo   a   la   que   encontrábamos   en   Sonidos   de   la   noche   - o   mediante   el   uso   del   accelerando.   Sin   embargo,   a   la   culminación   más   importante   de la   obra   se   llega   mediante   el   uso   de   los   multifónicos   en   el   oboe   al   final   del   desarrollo con   clave,   cuyo   uso   es   algo   inhabitual   en   la   música   de   Soler,   quien   huye   de   la   idea   de ruido    -    inevitable    con    el    uso    de    los    multifónicos    -    para    utilizar    medios    más convencionales.   De   hecho,   este   fragmento   contiene   en   sí   mismo   un   microcosmos formal-constructivo que a continuación presentamos. Ejemplo 12 De   nuevo,   al   igual   que   en   el   primer   grupo   cadencial   (compases   71   a   98),   aparece   una distribución   de   simetría,   en   la   que   juega   un   rol   importante   el   instrumento   solista,   el cual   se   halla   distribuido   como   instrumento   solo   y   sin   acompañamiento   a   lo   largo   de todo   el   fragmento,   mediante   dos   intervenciones   de   únicamente   dos   compases   cada una;   una   al   inicio   y   otra   al   final   de   dicho   desarrollo   -   que   culmina   en   el   compás   226   -, reduciéndose   la   tensión   a   partir   de   ahí   y   hasta   el   compás   255.   En   el   resto,   el   Clave participa como un instrumento más. LA SERIE A   diferencia   de   Sonidos   de   la   noche,   el   Concierto   para   clavecín   utiliza   una   sola   serie, sobre   la   que   se   basa   todo   el   medio   de   articulación   interválica   tanto   horizontal   como vertical.   La   serie   es,   en   este   caso,   parecida   a   la   que   ya   encontrábamos   en   Sonidos   de   la noche,   sobre   todo   en   lo   referente   a   su   articulación   interna   o,   lo   que   es   lo   mismo,   en   el uso simétrico de los intervalos. Ejemplo 13 En   este   caso   se   utiliza   una   combinación   de   intervalos   a   modo   de   engranaje   melódico de   segunda   mayor   y   menor   frente   a   los   de   tercera   menor,   los   cuales   sirven   a   su   vez para   unir   a   los   de   tritono   que,   de   algún   modo,   gobiernan   la   obra.   No   vamos   a   agotar aquí   al   lector   con   una   descripción   de   todas   las   disposiciones   seriales,   ya   que   resultaría demasiado   pesado.   En   todo   caso,   vamos   a   limitarnos   a   citar   las   que   creemos   más importantes.    Dada    la    obviedad    de    la    articulación    serial    utilizada    en    la    idea    B    del concierto   vamos   a   omitir   su   análisis,   realizándolo   sobre   otros   fragmentos   de   mayor interés analítico. El    engranaje    serial    queda    reflejado    en    los    cuatro    compases    iniciales,    en    los    que coexiste     una     disposición     vertical     y     horizontal     entre     el     grupo     instrumental     e instrumento solista respectivamente. Ejemplo 14(19) Si    bien    la    disposición    horizontal    es    mantenida    desde    el    principio    hasta    el    fin    del fragmento    citado,    esta    únicamente    es    utilizada    en    el    inicio,    y    continuada    por    el clarinete   bajo,   aunque   no   será   completada   en   su   totalidad.   Puede   observarse   cómo Soler   mantiene   una   relativa   fidelidad   a   la   serie   original,   y   utiliza   a   menudo   la   omisión del   sonido   3   (La),   intercambiándolo   por   el   sonido   8   (Si),   algo   que   ocurrirá   a   lo   largo   de toda   la   obra.   De   hecho,   parece   tratarse   de   un   error   aprovechado   como   medio   de conseguir   variedad,   aunque   esta   sea   limitada.   Por   paradójico   que   pueda   parecer,   en   el resto   de   la   obra   Soler   no   utiliza   ninguna   combinación   de   la   serie,   ni   siquiera   las   básicas de    retrogradación    e    inversión,    y    únicamente    se    limita    a    usar    las    combinaciones fragmentarias   de   esta,   de   modo   semejante   al   de   Sonidos   de   la   noche.   El   propósito   de Soler   es   desarrollar   al   máximo   las   posibilidades   de   la   serie   en   su   forma   original,   y utilizarla   a   modo   de   tema.   Algo   así   ocurre   en   el   compás   154,   a   partir   del   desarrollo   del clave, en el que encontramos la serie combinada mediante una superposición vertical. Ejemplo 15 Si   bien   todas   las   combinaciones   inteválicas   tienen   de   una   u   otra   forma   una   conexión con   la   serie,   lo   que   escapa   al   raciocinio   del   uso   interválico   dodecafónico   es   el   uso   de los   multifónicos,   que   por   su   composición   interna   no   pueden   organizarse   según   sus planteamientos   -   el   uso   de   cuartos   de   tono   es   algo   que   Soler   no   tiene   en   cuenta   como parte   integrante   de   la   serie   -.   Dichos   multifónicos   aparecen   como   una   necesidad   de crear   cierta   confusión   sonora   que,   junto   al   uso   de   los   acordes   de   segunda   menor   y séptima   mayor   de   la   viola,   el   tempo   rápido   del   fragmento,   crea   una   culminación sonoro-textural   de   enorme   brutalidad,   que   es,   además,   la   cumbre   de   la   obra   -   no   hay otro   fragmento   en   el   que   se   utilicen   medios   de   tal   envergadura   -.   La   combinación   de   la serie se realiza, sin embargo, de igual modo que en los anteriores fragmentos. Ejemplo 16 ELEMENTOS DE TEXTURA HOMOFONA A   pesar   de   que   la   obra   mantiene   siempre   una   distribución   horizontal   de   la   serie, subsisten   en   ella   unas   combinaciones   en   forma   de   acordes   que   serán   punto   de   partida y   de   lenta   progresión   hacia   la   creación   y   estabilización   del   lenguaje   armónico   de   su segunda   etapa   compositiva.   Estos   elementos   armónicos   son   generados   por   la   propia combinación   de   la   serie,   ya   que   al   organizarse   mediante   intervalos   de   tritono,   resultan ideales   para   conseguir   combinaciones   de   carácter   consonante   que,   si   bien   integradas en el contexto, no se mantienen como tales. La   primera   combinación   acordal   es   la   que   inaugura   la   pieza.   En   ella   se   utilizan   los cinco últimos sonidos de la serie, que será repetida al final de la idea A en el Clave. Ejemplo 17 A   lo   largo   de   ella   la   disposición   acordal   se   realiza   con   combinaciones   interválicas parecidas,   siendo   la   más   significativa   la   aparecida   en   el   Lento   del   final   de   la   cadenza (compás 71). Ejemplo 18 Obsérvese   cómo   en   los   dos   primeros   acordes   aparece   una   combinación   de   la   serie nota   a   nota,   si   bien   en   el   último   se   mantienen   sólo   algunos   gestos,   ya   que   la   serie   ha sido,   en   este   caso,   disgregada.   La   combinación   acordal   no   tiene,   sin   embargo,   una disposición    estable    que    permita    de    uno    u    otro    modo    realizar    encadenamientos similares    en    el    resto    la    obra,    siendo    estos    ordenados    únicamente    mediante    la combinación serial. La   obra   mantiene,   a   pesar   de   ello,   ciertos   fragmentos   de   textura   rítmica   homófona que   merecen   ser   remarcados,   aunque   sea   sólo   por   el   contraste   que   representan frente   al   resto,   de   escritura   eminentemente   horizontal,   y   en   la   que   lo   vertical   es   una consecuencia   de   aquella.   Como   verdaderamente   remarcable,   tenemos   el   fragmento que   va   desde   el   compás   128   al   133.   Aunque   existen   otros   fragmentos   de   homofonía entre   grupos   de   dos   o   tres   instrumentos,   no   son   enumerables   como   tales,   ya   que   a menudo   se   utilizan   en   los   procesos   cadenciales.   El   fragmento   anteriormente   citado recuerda,   en   algún   momento,   las   partes   homófonas   del   Concierto   para   clavecín   de Falla. Manuel de Falla: Concierto para clavecín. © Ed. Max Eschig. Ejemplo 19 También   Falla   utilizaba   estos   fragmentos   homófonos   esporádicamente,   aunque   en mayor   grado   que   en   Soler.   De   hecho,   Soler   utiliza   este   fragmento   como   la   culminación intermedia   del   desarrollo   instrumental   -   al   igual   que   en   el   desarrollo   del   solista   se utilizará    la    culminación    textural    con    sonidos    multifónicos    en    los    instrumentos    de viento   -.   Sin   embargo,   en   ningún   momento   se   abandona   la   textura   serial,   si   bien   su combinación   es   compleja   y   no   tiene   una   articulación   continua   que   pueda   ser   utilizada como medio de seguimiento (ejemplo 20) No   se   puede   hablar,   tampoco,   de   un   uso   rítmico   específico,   elaborado   expresamente para   el   fragmento   ya   que   los   ritmos   utilizados   son,   en   realidad,   derivados   siempre   de uno   mismo,   realizando   un   desplazamiento   que   irá   poco   a   poco   acentuándose,   y   que será con el que culminará dicha sección (ejemplo 21). Ejemplo 20 Ejemplo 21 El   procedimiento   es,   pues,   una   consecuencia   lógica   del   uso   serial,   en   el   que   el   proceso de   encadenamiento   horizontal   prima   por   encima   de   todo,   tratado   de   forma   tal   que   se comporta   como   una   melodía   infinita,   algo   que   por   otra   parte   será   punto   de   partida   y de   elaboración   en   la   etapa   del   acorde   wagneriano.   En   la   obra   se   observa,   además,   la necesidad   de   expresión   intuitiva,   en   la   que   lo   formal   y   lo   que   tiene   que   ver   con procedimientos    complejos    de    elaboración    del    material,    quedan    expresamente    al margen   de   un   discurso   pretendidamente   simple   y   directo.   Este   uso,   y   la   inseguridad que   de   él   pueda   extraerse,   podría   ser   el   origen   de   la   necesidad   de   buscar   un   medio unitario,   que   sintetizara   y   condujera   de   forma   más   clara   la   direccionalidad   musical,   y este   fue   muy   probablemente   el   punto   de   partida   a   la   hora   de   utilizar   un   procedimiento que   reuniera   la   particularidad   del   control   vertical,   frente   al   horizontal   -   del   mismo modo   que   el   uso   de   la   armonía   en   la   música   tonal   -,   el   cual   era   por   otra   parte   el   que primaba en la etapa dodecafónica. Notas: 1   Bruach,   Agustí:   Artículo   titulado   "Josep   Soler   o   la   creación   como   exégesis"   aparecido   en   el   programa   de   mano de los conciertos-homenaje realizados en Octubre y Noviembre de 1994. Ed. Fundación "La Caixa". Pág. 51. 2 Marco, Tomás: Historia de la música española. VI, Siglo XX. Madrid 1989. Ed. Alianza Música. Pág. 240. 3 Casares, Emilio: 14 compositores españoles de hoy. Oviedo 1982. Ed. Publicaciones de la Universidad de Oviedo, Colección Ethos Música nº 9. Pág. 445. 4   Casares,   Emilio:   14   compositores   españoles   de   hoy.   Oviedo   1982.   Ed.   Publicaciones   de   le   Universidad   de Oviedo, Colección Ethos Música nº 9. Pág. 447. 5 Ibídem, pág. 445 6 Benet, Sebastián: El correo de las Artes. Barcelona Febrero de 1960. 7   Casares,   Emilio:   14   compositores   españoles   de   hoy.   Oviedo   1982.   Ed.   Publicaciones   de   le   Universidad   de Oviedo, Colección Ethos Música nº 9. Pág. 460. 8 Ibídem, Pág. 459. 9 Bruach, Agustí: Análisi d'un quartet de Josep Soler. Trabajo de investigación, UAB, 1992. 10   Casares,   Emilio:   14   compositores   españoles   de   hoy.   Oviedo   1982.   Ed.   Publicaciones   de   le   Universidad   de Oviedo, Colección Ethos Música nº 9. Pág. 465. 11 Ibídem, pág. 464. 13   Medina,   A.:   Artículo   realizado   por   el   propio   Josep   Soler   sobre   su   lenguaje   musical.   Ed.   Universidad   de Oviedo, (en preparación). 14   Medina,   A.:   Artículo   realizado   por   el   propio   Josep   Soler   sobre   su   lenguaje   musical.   Ed.   Universidad   de Oviedo, (en preparación). 15 Ibídem. 16   Casares,   Emilio:   14   compositores   españoles   de   hoy.   Oviedo   1982.   Ed.   Publicaciones   de   le   Universidad   de Oviedo, Colección Ethos Música nº 9. Pág. 44 17   Este   análisis   se   encuentra   en   el   libro   "Fuga,   técnica   e   historia"   del   propio   compositor.   Barcelona   1980.   Ed. Antoni Bosch. 18 Schoenberg, Arnold: Style and Idea. Theory of form. Ed. University of California Press. Pág. 253. 19 La partitura se halla transportada.
© 2002, Agustín Charles Soler. Todos los derechos son propiedad del autor
Agustín Charles
musicalisis.es
© ACH productions
Josep Soler,  música

Sonidos de la

noche,

Concierto para

clavecín

Puedes leer el libro con el resto del artículo, además de otros análisis en «Música Española del Siglo XX, Entorno a la Generación del 51»

Introducción

A   menudo   hemos   oido   decir   que   la   música   catalana   actual posee     una     fuerte     influencia     de     la     música     expresionista alemana,   y   esto   resulta   ser,   a   veces,   el   punto   de   referencia para    su    descalificación,    a    pesar    de    que    dicha    circunstancia nada   tiene   que   ver   con   la   calidad   de   la   música,   ya   que   esta   no viene   dada   por   la   afinidad   a   un   estilo   concreto,   sino   por   la capacidad   creativa.   Sobre   la   afinidad   a   esa   escuela   -   más   o menos   expresionista   -   de   la   música   catalana   tiene   mucho   que ver   la   influencia   que   ha   ejercido   nuestro   compositor,   sobre todo   en   las   generaciones   de   compositores   que   tienen   en   la actualidad   entre   25   y   45   años,   si   bien   se   generaliza   a   menudo en     exceso,     olvidando     que     otros     compositores,     también catalanes,   no   poseen   dicha   influencia   (caso   de   Joan   Guinjoan, Xavier   Benguerel,   Mestres   Quadreny,   etc.).   En   todo   caso,   Josep Soler   ha   demostrado   una   clara   predilección   por   el   modelo alemán    establecido    por    Schönberg,    Berg    y    Webern,    que,    a pesar   de   la   distancia   -   tanto   temporal   como   geográfica   -,   ha hecho de dicha predilección un modelo a seguir. También   hay   que   añadir   que   Soler   ha   dedicado   buena   parte   de su   tiempo   y   de   su   vida   a   la   enseñanza   de   la   composición,   por lo    que    dicha    influencia    ha    sido    directa    en    sus    alumnos    e indirecta   sobre   su   alrededor.   Sin   embargo,   a   menudo   se   le   ha atribuido   una   influencia   perniciosa,   y   a   esto,   quien   subscribe este     trabajo     -     también     exalumno     -     debe     responderse negativamente   con   rotundidad   ,   añadiendo   que   si   ésta   se   ha producido,   no   es   algo   que   pueda   ser   atribuible   al   maestro. Desde   luego,   no   recuerdo   de   mi   época   de   estudiante   que   en ningún   caso   se   forzara   a   los   alumnos   a   hacer   algo   en   lo   que ellos   mismo   no   estuvieran   de   acuerdo.   Quien   ha   sido   influído por     su     trabajo     o     por     lo     que     le     rodea,     lo     ha     sido voluntariamente. Aún   así,   resulta   incluso   lógico   que   compositores   jóvenes   se sientan   atraídos   por   la   música   de   cualquier   compositor   de fuerte   personalidad,   entre   los   cuales   se   halla,   sin   duda,   Josep Soler.    Otra    cosa    es    lo    que    sepan    aprovechar    de    dicha influencia. Cualquier     música     refleja     la     vivencia     personal     de     cada compositor,   siendo   este   también   el   caso   de   Soler,   por   lo   que no   resulta   extraño   que   el   mundo   de   impacto   fuera   el   mundo expresionista    y    no    cualquier    otro    medio    expresivo,    algo normal   en   los   años   50.   A   ello   ayudó   la   desinformación   y   la influencia   wagneriana   en   la   música   catalana   de   aquellos   años, de   la   cual   es   gran   conocedor.   El   dramatismo   wagneriano   y   la idea   prerromántica   del   Sturm   und   Drang,   es   algo   presente   no sólo    en    la    última    etapa    del    compositor,    sino    en    etapas anteriores,   ya   que   la   necesidad   de   retorno   hacia   un   lenguaje simplificado   viene   dada   por   la   necesidad   de   claridad,   junto   a   la acentuación   de   la   visión   negativa   del   entorno   "   [...]   las   ideas parecen   venir   acompañadas   de   conflictos,   situaciones   de   una cierta   violencia   no   resuelta   que   traen   consigo   una   gran   carga de   brutalidad   a   pesar   de   su   aparente   atonía1".   Dicha   influencia ha   hecho   que   su   música   sea   de   carácter   obscuro   y   reservada en    extremo,    de    tal    modo    que    sólo    es    comprensible    en    su totalidad por él mismo. Ciñéndonos   al   ámbito   puramente   musical,   hay   que   decir   que la   música   de   Josep   Soler   conoce   varias   etapas,   que   si   bien poseen   una   directa   relación   con   un   lenguaje   expresionista   -   o dicho   de   otra   manera,   germánico   -,   tienen   en   la   profundidad de   su   pensamiento   y   en   ese   casi   "culto   divino   a   la   muerte"   su punto     de     partida:     "Más     profundo     que     experimental,     el dramatismo   innato   en   su   obra   no   deja   cabida   al   humorismo"2. Eso   es   algo   que   resulta   latente   en   los   títulos   de   sus   partituras que,   en   buen   número,   mantienen   relación   con   lo   religioso,   por otra   parte   raro   en   un   compositor   que   se   muestra   en   contra   de las ideas eclesiásticas. La   preocupación   del   compositor   sobre   la   predestinación   y   la libertad,   unidos   al   culto   de   lo   sobrenatural,   resultan   campo abonado   para   la   expresividad   extrema:   "Hablar   del   artista   y   de su   creación   es   hablar   de   una   máquina   que   produce   angustia,   y al    mismo    tiempo    la    difunde"3.    Aparece    una    necesidad    casi brutal    de    expresar    las    ideas    con    claridad,    claridad    que    a menudo   queda   oculta   en   el   magma   expresivo   de   la   obra,   y que   las   aleja   en   ciertos   casos   de   ese   objetivo   primero.   En ocasiones    parece    disfrazarse    expresamente    para    evitar    el desnudo que quiere oculta a toda costa. Los   orígenes   de   la   música   de   Soler   deben   remontarse   a   los estudios    realizados    con    el    maestro    Taltabull,    quién    actuó además    como    perfecto    comodín    en    la    música    catalana, propiciando   las   tres   tendencias   musicales   que   persisten   en   la Cataluña   actual:   Josep   Soler   como   representante   de   la   escuela expresionista,   Mestres   Quadreny,   representante   de   la   escuela de     vanguardia     y     nuevas     tendencias,     y     Joan     Guinjoan, representante   de   un   mundo   intermedio   o   de   compositores   sin afinidad    estética    concreta.    Los    estudios    con    el    maestro Taltabull   le   sirvieron   como   punto   de   partida,   y   con   él   aprendió algo   que   ha   destacado   en   toda   su   producción   musical,   y   diría más,     humana:     su     honestidad.     "Taltabull     supo,     con     una discreción    que    sólo    puede    y    sabe    poseer    un    auténtico maestro,   suministrar   datos,   abrir   posibilidades   y   caminos   sin forzar   a   ninguno   de   sus   discípulos   a   escoger   o   seguir   ése   o aquél"4.   Aunque   posteriormente   amplió   sus   estudios   con   René Leibowitz,    estos    no    tuvieron    verdadera    significación    en    su producción    musical,    si    bien    el    respeto    hacia    el    maestro    le sirvió   como   punto   dde   referencia   de   su   pensamiento   musical posterior:   "Leibowitz   significó,   con   su   carismática   personalidad, la   promulgación   de   unos   imperativos,   no   estéticos   sino   éticos: la   claridad   de   la   ordenación   del   material   musical   y   un   estricto sentido    del    orden    y    la    estructura    que    debe    presidir    la construcción del andamiaje musical"5. A   pesar   de   sus   enormes   dotes   de   compositor   -   sus   primeras obras   datan   de   los   13   años   -   no   fue   sino   el   año   1956   cuando Josep    Cercós    estrenó    sus    Dos    piezas    para    piano    en    un concierto   restringido,   siendo   en   realidad   el   año   1960   el   año   de su    primer    estreno    real    con    público.    La    obra    fue,    en    esa ocasión,   Danae.   Es   precisamente   a   partir   de   ese   año   en   el   que empieza   la   verdadera   carrera   compositiva   de   Soler   -   con   los estudios   con   Taltabull   -,   y   en   el   que   se   inicia   su   primera   etapa, que    será    eminentemente    dodecafónica.    El    estreno    de    esa primera    obra    fue    motivo    de    polémica    en    una    ciudad    poco acostumbrada   a   la   música   de   vanguardia,   anclada   entre   una escuela   wagneriana   y   otra   nacionalista:   "La   obra   de   José   Soler, Danae,   no   tuvo   el   más   mínimo   éxito,   lo   cual   es   sensible   por varias   razones.   La   obra   es   puramente   dodecafónica   y,   por   lo tanto,    de    difícil    captación    para    el    público    en    una    sola audición"6. A   pesar   de   ser   un   compositor   de   hoy,   no   se   puede   hablar   de Josep   Soler   como   un   músico   de   vanguardia,   pues   su   lenguaje musical   no   resulta   novedoso   -   aunque   sí   en   la   Barcelona   de aquellos   días   -,   ya   que   el   lenguaje   dodecafónico   era   ya   algo dejado    de    lado    en    los    años    60    por    un    buen    número    de compositores   y   discípulos   de   la   escuela   de   Viena,   a   lo   que   hay que   añadir   el   hecho   de   que   el   mismo   compositor   opina   que   la vanguardia   es   algo   artificial   y   nada   lógico:   "Schönberg   no   es un   revolucionario   ni   menos   un   vanguardista,   es   un   producto de   la   evolución   y   un   resultado   lógico   de   ésta"7.   La   justificación del   lenguaje   -   eminentemente   dodecafónico   -   de   esa   primera etapa    se    debe    sobre    todo    a    una    necesidad    de    expresión interna   sin   cálculo   premeditado,   y   en   el   que   se   usa   la   serie   en su     absoluta     desnudez     sin     apenas     utilizar     los     medios habituales    de    su    combinación    -    retrogradación,    inversión, transposición,   etc.   -;   la   música   para   el   compositor   era,   en   esa primera   etapa,   una   necesidad   de   expresión   pura,   en   la   que   el material    resultaba    algo    superfluo    y    de    segundo    orden:    "El verdadero   artista,   llevado   por   su   necesidad   interior,   sabe   y tiene   conocimiento   de   que   realiza   y   emite,   pero   no   sabe   qué; el   camino   se   crea   al   crearse   la   obra   y   ésta,   al   aparecer,   crea también   su   propio   lenguaje.   Pero   ese   lenguaje   no   se   escoge, no   se   busca,   se   halla   y,   existiendo   se   constituye   a   sí   mismo como emisor"8. Con     esa     visión     del     mundo     musical     que,     en     ocasiones, transmite   con   la   seguridad   de   que   ese   es   el   mundo   absoluto   - algo   que   puede   ser   discutible   -   el   uso   de   determinados   gestos musicales   y   de   determinadas   orientaciones   filosóficas   en   su música    se    hallan    siempre    unidas    al    uso    e    influencia    de determinados    gestos    musicales,    que    tienen    íntima    relación con     obras     que     resultan     ser     punto     de     partida     para     la construcción     de     su     propio     modelo     compositivo     "     Las afinidades   de   Soler   con   la   música   de   los   maestros   que   son más    cercanos    se    muestran    a    menudo    en    forma    de    citas textuales    o    bien    con    la    incorporación    de    referencias    más veladas      en      el      terreno      de      la      instrumentación      o      de determinados aspectos motívicos y dramáticos"9. Josep     Soler     utiliza     estos     gestos     con     absoluta     libertad, repitiendo   lo   que   considera   necesario   y   dejando   de   lado   la posible    consideración    de    copia.    Por    tanto,    lejos    de    resultar banal,   su   música   se   articula   desde   presupuestos   expresivos   de influencia   externa   directa   y   visceral,   en   la   que   el   argumento   de copia   va   mucho   más   lejos   del   solo   hecho   de   plasmar   en   esa repetición   -   a   veces   literal   -   una   confluencia   estilística,   siendo esta    el    reflejo    filosófico-espiritual    que    rige    las    ideas    y    el espíritu   creativo   del   compositor.   Por   otra   parte,   existe   en   Soler un   empeño   en   mantener   una   actitud   negativa   de   la   visión   del mundo   actual   -   a   menudo   excesivamente   realista   -,   algo   que se   refleja   en   sus   escritos   y   en   su   pensamiento   compositivo,   en el   que   a   menudo   se   denosta   una   dirección   de   la   música   y   una tendencia   compositiva   ocultando   un   gusto   musical   que   niega todo   lo   que   le   resulta   ajeno.   Quizá   sea   esto   último   lo   que   le hace   ser   criticado   por   los   compositores   que   no   comparten   el mismo punto de vista. Josep Soler: Réquiem (1974). Ejemplo 1 La   visión   del   mundo   de   la   composición   es   para   Josep   Soler,   en líneas     generales,     escéptica,     aunque     en     algunos     casos probablemente   no   le   falte   razón,   a   pesar   de   que   a   menudo peque   del   exceso   emotívico   del   momento,   algo   que   en   el   año 1982   se   traducía   en   la   siguiente   afirmación:   "   Ser   compositor, significa   producir   algo   que,   en   las   altas   esferas,   no   interesa prácticamente   a   nadie,   significa,   en   el   mejor   de   los   casos,   ser un   personaje   tolerado   del   que   aproximadamente   cada   diez años   algún   resignado   director   de   orquesta   interpretará   alguna obra   siempre   con   la   recomendación   de   que   ésta   sea   lo   más breve   posible,   que   no   sea   difícil,   que   no   presuponga   aumentos en la orquesta y que no plantee ningún problema [...]"10. Estas      palabras      pueden      resultar      duras,      pero      reflejan claramente   la   inquietud   y   perplejidad   del   compositor   por   una sociedad   que   hace   caso   omiso   del   arte,   en   pro   del   favoritismo de   cualquier   índole:   "Nadie   ignora   que   vivimos   en   una   situación difícil,   y   que   esta   dificultad   no   es   de   ahora,   sino   de   cuarenta años   atrás;   escribir   música   durante   estos   años   ha   significado un   largo   calvario   para   muchos   (y   ese   calvario   aún   sigue)   y   un camino   muy   fácil   para   unos   pocos:   la   historia   es   la   que   deberá decidir   sobre   las   complacencias,   de   tipo   político   o   amistoso   de unos,    o    sobre    los    caminos    cerrados    que    tantos    otros    han hallado   ante   sí;   la   falta   total   de   planificación   y   el   hecho   de   que nunca     se     ha     considerado     algo     que     debería     integrarse orgánicamente   dentro   de   un   más   amplio   campo   que   es   el   de las   artes   y   el   hecho   de   que   éste   haya   siempre   dependido, durante   los   largos   años   de   la   postguerra,   de   los   caprichos,   las aficiones   o   los   odios   de   determinados   personajes   dueños   del mundo musical, aunque siempre con rango de sub [...]"11. Ante   ese   panorama   -   trascendental   en   la   visión   de   su   mundo compositivo   -   de   conflictividad   de   ideas,   su   música   no   puede ser   otra   más   que   la   puramente   expresiva.   De   ello   nos   vamos   a ocupar   seguidamente,   intentando   desentrañar   lo   interno   de   su música, además de mostrar su procedimiento de trabajo. LENGUAJE MUSICAL Anteriormente    se    ha    ya    apuntado    la    base    del    lenguaje utilizado    en    su    primera    época    compositiva,    y    que    es,    en definitiva,   la   que   marcará   un   paso   progresivo   hacia   el   futuro actual.     El     lenguaje     musical     de     Soler     es     meramente expresionista,      y      por      tanto      sus      inicios      son      también expresionistas,    con    un    uso    del    medio    dodecafónico    muy estricto    y    del    cual    no    habrá    parangón    en    ningún    otro compositor   español   de   este   siglo12.   El   uso   del   dodecafonismo en   Soler   es   sin   embargo   simple,   apenas   se   aparta   de   un   uso de    la    serie    sin    sus    combinaciones    habituales,    es    decir, retrogradaciones,    inversiones,    transposiciones,    etc.,    incluso una   obra   de   la   envergadura   de   la   ópera   Edipo   y   Yocasta   fue escrita      sobre      una      única      serie      sin      ningún      artilugio contrapuntístico    -,    a    excepción,    por    supuesto,    de    la    mera imitación   -.   Sin   embargo,   no   todas   sus   obras   mantienen   un rasgo   estilístico   tan   férreo,   y   algunas   de   ellas   se   articulan   a partir   de   elementos   de   tipo   atonal   en   los   que   la   serie   aparece más   como   un   medio   y   excusa   para   la   uniformidad   del   material que como material de uso propiamente dicho. Ahora   bien,   si   el   lenguaje   dodecafónico   y   atonal   en   su   obra   se prolonga   hasta   el   año   1975,   poco   se   habla   de   él   en   textos, artículos,   libros,   etc.,   dando   a   este   como   por   entendido,   sin necesidad    de    alusión    alguna;    sin    embargo    mucho    más    se habla   del   procedimiento   que   a   partir   del   año   1975   sería   la base    de    su    elaboración    compositiva,    algo    que    quedaría reflejado   en   buena   parte   de   su   obra:   el   uso   del   acorde   del Tristán    de    Wagner:    "Desaparecido    un    idioma,    el    artista,    el compositor   que   intente   proseguir,   a   pesar   de   todo,   su   labor supuestamente     creadora,     tiene     que     organizar     su     propia posibilidad    de    hablar    con    las    palabras    que    sean    y    con    las técnicas   que   para   él   le   permitan   articular   la   operación   difícil   y compleja ahora más que nunca de componer sus músicas"13. Ejemplo 2 12   En   Madrid,   Ramón   Barce   ha   sido   considerado   el   compositor puente   que   parte   de   la   música   expresionista   hacia   la   de   nueva formulación.   La   distinción   entre   ambos,   es   sin   embargo,   que   la música     de     Soler     es     meramente     expresiva,     y     parte     de presupuestos    cercanos    a    los    de    Schönberg    y    Alban    Berg, mientras     que     los     de     Ramón     Barce     parten     de     ideas     y procedimientos   de   síntesis   vinculados   al   mundo   compositivo de Anton Webern. Del   mismo   modo   que   en   obras   anteriores   se   utilizaban   medios e    incluso    fragmentos    literales    de    obras    que    resultaban impactantes   al   compositor   (ejemplo   1),   en   esta   ocasión   ese medio   aparece   como   un   punto   de   partida   para   la   elaboración del   discurso   compositivo   que   se   irá   acrecentando   a   lo   largo del   tiempo,   llegando   a   crear   todo   un   sistema   a   partir   de   él.   El mismo    Josep    Soler    cita:"[...]    el    hallazgo    de    su    peculiaridad forma   de   organizar   su   armonía,   es   decir,   el   color   propio   de   sus agregaciones   sonoras,   en   una   palabra,   de   su   música,   surgió, muy   lentamente,   no   por   su   voluntad   sino   por   la   insistente presencia   de   la   que   él   tardó   años   en   ser   consciente,   de   un determinado   acorde   que   confería   un   color   muy   concreto   a   su música   [...]".14   Ese   "hallazgo"   se   da   en   algunas   obras   de   forma muy   concreta15,   y   a   veces   tiene   una   presencia   abrumadora, como   la   aparecida   en   el   final   del   tercer   cuarteto   de   cuerdas, en la que este aparece en forma de coral y cromáticamente. Ejemplo 3 Pese    a    la    apariencia    de    lo    expuesto    (que    puede    resultar paradójico   o   pobre   para   el   lector),   el   lenguaje   y   su   puesta   a punto   no   es   ni   mucho   menos   el   de   la   simplicidad   externa   que puede   deducirse   de   su   comentario,   sino   que   su   elaboración,   su exquisitez    instrumental    y    los    elementos    de    desarrollo    que tienen   su   base   de   articulación   en   el   contrapunto   de   Max   Reger -   de   influencia   directa   en   Taltabull   y   heredado   en   Josep   Soler   - son   de   enorme   elaboración,   si   bien   coexisten   en   un   mundo recreado en la intuición y la expresión directa: "El   chorro   creador,   portador   de   los   elementos   nuevos   proviene de   un   impulso,   ajeno   en   su   totalidad,   y   sólo   la   forma   es   algo humano;   el   contenido   se   escapa   absolutamente   a   la   voluntad caso    de    que    ésta    pretenda    imponerse    o    condicionar    el resultado final [...]"16. Va    a    ser    precisamente    la    forma    y    los    procedimientos    de elaboración   del   material   sonoro   que   el   compositor   utiliza   lo que   aquí   vamos   a   analizar,   con   tal   de   poder   conseguir   de   ese modo    acercarnos    a    los    procedimientos    lingüisticos    de    su discurso   organizativo.   Dicho   análisis   se   va   a   realizar   sobre   tres obras   antagónicas.   Dos   de   ellas   mantienen   una   proximidad   en la     fecha     de     su     composición,     pero     son,     en     realidad, absolutamente    distintas    entre    sí.    Pertenecen    a    la    primera etapa   -   dodecafónica   -:   Sonidos   de   la   noche   y   Concierto   para clavecín,   y   la   tercera   pertenece   al   período   de   uso   del   acorde de   Tristán:   Le   Christ   dans   la   banlieue,   de   la   ópera   "La   Tentation de    Saint    Antoine".    La    densidad    de    la    última,    así    como    su longitud,    no    va    a    hacer    posible    un    análisis    pormenorizado compás     a     compás,     retringiéndonos     a     lo     que     resulta imprescindible para la comprensión de su lenguaje. SONIDOS DE LA NOCHE LA OBRA Aunque   "Sonidos   de   la   noche"   y   el   "Concierto   para   clavecín" fueron   escritas   durante   el   mismo   año   (1969),   guardan   entre   una   diferencia   lingüistica   que   observaremos   a   continuación con   detenimiento.   Sonidos   de   la   noche   es   una   obra   rara   en   el corpus    compositivo    de    Soler,    sobre    todo    para    el    oyente acostumbrado   a   oír   la   música   actual   del   compositor.   Aunque su    connotación    de    oscuridad    queda    reflejada    en    su    propio título,   cabe   destacar   sin   embargo   su   carácter   lúdico,   algo   nada habitual   en   la   producción   musical   del   compositor.   Esta   obra resulta    ser,    además,    una    de    las    que    le    han    proporcionado mayor   reconocimiento   internacional,   habiendo   sido   grabada   y ejecutada   por   intérpretes   en   todo   el   mundo.   La   obra   utiliza   un grupo     de     6     percusionistas     con     un     buen     número     de instrumentos: I. Vibráfono, 5 Temple blocks , y un Crótalo afinado en Sol. II. Marimba, Tam-tam, 4 cencerros y 2 congas. III. Plato y 2 Wood-blocks. I. Campanas, Tam-tam, Maracas y Gong en agua. V. Plato y Xilófono. VI. Plato, lira, flexatón y Güiro. Sólo    los    percusionistas    I,    II,    IV    y    V    poseen    instrumentos capaces    de    producir    sonidos    afinados    (el    flexatón    también puede   realizarlos,   aunque   aquí   es   utilizado   únicamente   como instrumento   de   afinación   indeterminada),   lo   que   delimita   el campo de acción melódica a dichos instrumentos. De    algún    modo,    la    obra    mantiene    la    idea    de    organización temática    -    en    este    caso    dodecafónica    -    que    Edgar    Varèse empleara   en   su   obra   para   trece   percusionistas   Ionisation,   e incluso     sorprende     observar     gestos     que     son     de     cierto semblante   a   los   aparecidos   en   aquella   -   uno   de   ellos   es   el   de los   trémolos   en   los   instrumentos   de   metal   -.   Si   bien   en   el   caso de   Varèse,   el   uso   rítmico   se   halla   por   encima   del   melódico   -   en Ionisation      no      utiliza      ningún      instrumento      de      sonido determinado,   a   excepción   del   final,   en   el   que   los   utiliza   como instrumento   de   sonido   indeterminado   -.   De   cualquier   modo,   la obra   de   Soler   se   halla   cercana   a   la   idea   programática,   sobre todo   en   el   uso   de   la   combinatoria   instrumental.   Para   Soler   la organización   serial   se   halla   en   un   estadio   superior   a   la   rítmica, siendo   esta   la   que   rige   a   modo   de   idea   temática   todas   las relaciones   y   combinaciones   de   los   instrumentos.   Aunque   la combinación   de   la   serie   no   resulta   clara   en   primera   instancia   - debido   sobre   todo   a   la   fragmentación   serial   -   sí   lo   es   en   las partes   en   solo   de   cada   uno   de   los   instrumentos   de   sonido determinado.     Vayamos     a     observar,     en     primer     lugar,     la combinación formal utilizada en esta pequeña pieza. COMPOSICION FORMAL No   parece   haber   empeño   en   el   compositor   de   considerar   la forma    como    algo    importante    a    priori,    sino    más    bien    una consecuencia   lógica   de   la   combinación   y   el   desarrollo   de   la serie.   No   obstante,   en   el   análisis   minucioso   de   la   partitura   nos encontramos   con   una   utilización   del   material,   que   aunque   no ha     sido     controlado     a     priori,     manifiesta     claramente     una combinación   simétrica.   No   sólo   existe   una   idea   de   simetría   y de     acumulación     sonora,     sino     que     también     aparece     una distribución   formal   de   tipo   áureo,   que   puede   deberse,   por   otra parte,   a   la   casualidad.   Hay   que   aclarar,   sin   embargo,   que   la combinación   formal   áurea   no   ha   sido   utilizada   -   por   lo   menos conscientemente   -   en   ninguna   de   sus   obras,   a   pesar   de   que con    ella    realizó    el    análisis    del    Concierto    para    percusión, cuerdas   y   celesta   de   Béla   Bártok17,   tomándola   además   como base de su constitución formal. Esta   distribución   áurea   -probablemente   inconsciente   -   tiene   su punto   álgido   en   el   compás   40,   compás   que   sirve   de   principio de   la   condensación   melódica   en   todos   los   instrumentos,   a   la vez   que   final   del   corto   obstinato   rítmico.   Casualidad   o   no,   es algo   que   a   menudo   va   unido   a   la   creación,   en   la   que   el   creador no   controla   todo   el   hecho   musical   en   sí,   si   bien   ello   es   el resultado    del    pensamiento    interno,    que    inconscientemente controla   a   lo   externo   "La   teoría   de   la   forma   puede   tener   como punto   de   mira,   y   en   primer   lugar,   observar   la   significación   de la   forma   artística   -   el   hecho   que   intenta   dotar   al   producto artístico   de   una   constitución   externa   e   interna,   permitiendo reconocerlo    como    algo    que    corresponde    a    la    calidad    de nuestro intelecto"18. La   obra   se   articula   en   un   continuo   crescendo,   que   parte   desde un   tiempo   lento   -   a   modo   de   plataforma   textural   -   que   sirve,   a su    vez,    de    preparación    de    la    entrada    de    la    melodía    serial iniciada    por    las    campanas    -    que    son,    por    otra    parte,    de afinación   imprecisa   y   de   compleja   audición   -.   En   este   inicio   no aparece,   sin   embargo,   la   serie   completa,   sino   que   esta   lo   hace a    modo    de    balbuceo    sobre    las    notas    y    combinaciones interválicas   propias   de   aquella,   que   serán   las   que   constituirán y     establecerán     la     serie     a     partir     del     compás     número11, mediante     el     uso     de     los     solos     instrumentales     de     los percusionistas     I,     II     y     IV,     mediante     la     combinación     de instrumentos    de    metal-madera-metal    (vibráfono-marimba- campanas).   Obsérvese   cómo   se   articula   el   proceso   formal   a   lo largo de toda la pieza: Ejemplo 4 En   el   ejemplo   se   han   realizado   dos   gradaciones   formales,   por una   parte   la   distribución   de   la   forma   (primer   plano)   y   por   otra la    de    la    combinación    instrumental    (segundo    plano).    Dicha combinación   se   articula   sobre   la   base   de   la   simetría,   al   igual de   lo   que   sucede   en   la   forma.   Obsérvese   el   hecho   de   que únicamente   en   la   parte   central   (compases   31   a   40)   se   utiliza un   movimiento   rítmico   claro,   que   se   traduce   en   un   ostinato   en los   wood-blocks,   algo   que   no   se   repetirá   de   nuevo   a   lo   largo de   toda   la   obra.   Esta   termina   en   una   coda   conclusiva,   en   la que     existe     un     retorno     al     uso     instrumental     del     inicio, descartando     el     uso     de     los     instrumentos     de     madera     y utilizando   por   primera   y   única   vez   un   Gong   que   se   sumerge   en el agua. También    el    uso    serial    mantiene    un    cierto    equilibrio    en    la totalidad   de   la   forma,   de   tal   modo   que   en   los   dos   fragmentos iniciales    se    mantiene    la    primera    serie    (ejemplo5    );    en    los fragmentos   intermedios   aparece   una   serie   nueva,   y   en   los   dos últimos   va   a   ser   una   serie   derivada   de   la   segunda   la   más utilizada,   si   bien   estas   se   van   a   combinar   entre   sí.   Vayamos   a observar   de   forma   más   clara   cómo   se   articulan   dichas   series, junto a los procedimientos de seccionamiento modular. USO DODECAFONICO Soler   va   a   utilizar   tres   series   a   lo   largo   de   toda   la   obra,   en   las que   únicamente   entre   la   tercera   y   la   segunda   va   a   haber   una relación clara, si bien algún intervalo se repite en todas ellas: Ejemplo 5 El   intervalo   común   entre   sí   es   el   Re-Lab,   es   decir   el   tritono que,   además,   sirve   de   inicio   tanto   de   la   primera   como   de   la tercera serie: Ejemplo 6 La     relación     entre     la     serie     segunda     y     tercera     es     de desplazamiento   horizontal.   En   todo   caso,   lo   verdaderamente difícil   es   determinar   cuál   de   las   dos   es   la   que   realmente   rige   el fragmento,   si   bien   probablemente   el   hecho   de   que   la   primera y      tercera      utilicen      el      mismo      intervalo      inicial      es      lo suficientemente   determinante   como   para   decir   que   son   estas las    principales,    siendo    la    segunda    un    desplazamiento    o anticipación    horizontal    de    la    última.    En    todo    caso,    ello confirma   la   connotación   de   simetría   de   la   que   hablábamos   en el apartado dedicado a su forma. Remitiéndonos     al     encadenamiento     interválico,     el     uso     de intervalos   con   relación   de   tritono   es   elevada.   De   hecho,   esta relación    constituye    buena    parte    de    los    procedimientos    de encadenamiento      melódico      de      toda      la      obra,      y      son precisamente   este   tipo   de   relaciones   las   que   le   confieren   un carácter     dramático     de     talante     expresionista.     Las     series segunda   y   tercera   mantienen,   además,   una   relación   interválica en   la   que   la   mitad   de   los   intervalos   son   de   tritono,   de   tal   modo que   cada   uno   de   ellos   se   une   al   otro   mediante   un   intervalo variable   y   de   combinación   simétrica.   Obsérvese   la   utilizada por la serie número 3: 6 - 1 - 6 - 3 - 6 - 1 - 6 - 4 - 6 - 1 - 6 Incluso   las   relaciones   de   tritono   llegan   a   generar   un   acorde disminuido       desplegado       horizontalmente       mediante       la superposición    de    tritonos.    Sin    embargo,    si    bien    las    series aparecen   claramente   en   los   solos,   en   la   parte   inicial   estas   lo hacen   únicamente   con   elementos   simples   que   son,   además, fragmentación de la propia serie. En   el   ejemplo   7   se   muestra   la   parte   introductoria   hasta   el compás    11,    donde    aparece    la    primera    serie    completa.    La combinación   serial   que   sigue   Soler   aquí   es   ardua   y   compleja,   y lo   que   queda   claro   es   el   hecho   de   que   esta   parte   introductoria se   nutre   del   uso   de   elementos   interválicos   relacionados   con ella,    a    pesar    de    que    sólo    aparezca    una    vez    completa    y combinada entre las campanas y la marimba. Ejemplo 7 Si    bien    este    principio    puede    parecer    el    anuncio    de    una compleja   combinación   melódica,   lo   que   continúa   va   a   ser   de hecho   mucho   más   claro,   de   tal   modo   que   las   series   van   a hacer   aparición   de   forma   más   evidente.   La   culminación   de dichas   apariciones   se   va   a   dar   en   el   compás   42   y   siguientes. En   ella   aparece   una   superposición   simultánea   de   las   series segunda    y    tercera    -    que    son,    en    realidad,    la    misma    -, empezando   en   cada   uno   de   los   instrumentos   mediante   una nota distinta. En   esta   combinación   interválica   (ejemplo   8),   que   resulta   ser   la más   rica   de   toda   la   obra   -   la   longitud   de   esta   es   limitada,   y   al tratarse   de   instrumentos   de   percusión   también   es   limitado   su uso    -,    existen    una    serie    de    errores    o    deslices    en    el    uso dodecafónico   que   cabe   resaltar.   Tampoco   hay   que   enfatizar   ni exagerar   excesivamente   sobre   ellos,   ya   que   de   hecho   la   serie es   tratada   a   lo   largo   de   toda   la   obra   con   cierta   libertad,   por   lo que   estos   deslices   quedan   integrados   dentro   de   una   textura dodecafónica   en   la   que   no   es   posible   detectar   externamente los errores, y sólo resultan visibles en su análisis técnico. Ejemplo 8 El    primero    de    dichos    errores    se    halla    en    el    percusionista cuarto,   al   cual   le   falta   el   sonido   número   1   cuando   repite   de nuevo   la   serie   (señalado   en   el   ejemplo   con   un   rectángulo).   El segundo   lo   tenemos   en   el   percusionista   5,   que   en   el   sonido número   5   utiliza   la   nota   Re   en   lugar   de   Mi,   que   sería   la   nota correspondiente     (señalado     con     un     círculo).     En     el     sexto percusionista,   Soler   realiza   una   combinación   interválica   en   la que   las   notas   de   la   serie   aparecen   tras   la   repetición   de   otras notas ya utilizadas anteriormente. RITMO Y TEXTURA Algo   que   resulta   paradójco   al   estudiar   la   partitura,   es   el   hecho de   que   Soler   no   utiliza   ningún   elemento   rítmico   como   medio para   crear   un   juego   dinámico   o   de   cualquier   otra   índole,   sino que   únicamente   usa   la   masificación   instrumental   como   medio para   llegar   a   las   culminaciones   estructurales   de   la   obra.   Sólo en    el    compás    32    existe    un    atisbo    de    utilizar    un    elemento rítmico,   aunque   en   realidad   se   trata   de   un   ostinato   sobre   un ritmo     fijo     de     dos     semicorcheas-corchea     que     dura     siete compases   sin   repetirse   de   nuevo.   El   ritmo   es   aquí,   para   Soler, poco   significativo   -   aunque   pueda   parecer   extraño   el   hecho   de que    en    un    grupo    instrumental    de    sólo    instrumentos    de percusión   no   se   utilice   el   ritmo   como   elemento   de   contraste   -. Para    crear    dicho    contraste,    Soler    utiliza    dos    medios    de articulación     rítmica:     un     movimiento     de     notas     tenidas, mediante    el    uso    de    trémolos    y    trinos    sobre    el    mismo instrumento   -   normalmente   utilizado   en   los   instrumentos   de gran    resonancia    (platos,    vibráfono,    etc.)    -    y    un    despliegue melódico   que   utiliza   básicamente   el   movimiento   rítmico   de tresillo   y   pulsación   binaria.   No   hay   un   orden   que   establezca prioridades    o    medios    de    acción,    sino    que    este    depende siempre   de   las   necesidades   expresivas   del   momento.   Lo   que prima   por   encima   de   todo   es   el   uso   interválico   -   la   serie   -, siendo el ritmo una necesidad de escritura. Esta   formulación   serial   va   a   ser   también   la   utilizada   como medio   básico   en   el   Concierto   para   clavecín,   estructurándose   la articulación   melódica   de   este   a   partir   de   ella.   La   diferencia entre   una   y   otra   obra   radica   básicamente   en   el   hecho   de   que el   carácter   es   absolutamente   distinto   entre   sí,   algo   que   tiene que   ver   directamente   con   la   instrumentación   utilizada   y   que resulta   ser   además   antítesis   entre   una   y   otra   obra;   mientras en    Sonidos    de    la    noche    existe    una    cierta    imposibilidad melódica   debida   al   uso   de   los   instrumentos   de   percusión   que la    limitan,    en    el    concierto    de    Clave    -    a    excepción    del instrumento    solista    -    los    instrumentos    pueden    utilizar    las líneas melódicas de forma claramente cantabile. CONCIERTO PARA CLAVECIN El   concierto   para   clavecín   se   articula   en   un   solo   movimiento,   si bien   en   él   se   integran   el   concepto   rápido-lento-rápido,   típico de    los    conciertos    barroco    y    clásico    de    tres    tiempos.    Este concierto   -   una   de   las   obras   más   conocidas   de   nuestro   insigne compositor     -     utiliza     una     instrumentación     prácticamente idéntica    a    la    del    Concierto    para    clavecín    de    Falla,    al    que irremediablemente   hay   que   acudir   como   referencia   a   la   hora de    escribir    un    concierto    para    dicho    instrumento.    Si    bien    el concepto   y   la   organización   del   Concierto   de   Soler   nada   tienen que   ver   con   el   de   Falla,   mantiene   con   él   la   misma   idea   de movimiento   y   articulación   fornido   de   figuraciones   rápidas   de tipo    concertante,    algo    ya    utilizado    por    los    compositores barrocos.   A   ello   hay   que   añadir   el   hecho   de   que   la   obra,   escrita 43   años   después   del   Concierto   de   Falla,   es   de   algún   modo   un homenaje     a     la     grandiosidad     creativa     de     uno     de     los compositores españoles más reconocidos. DISPOSICION FORMAL El     concierto     para     clavecín     se     articula     mediante     una organización    formal    que,    a    primera    vista,    puede    parecer incoherente   e,   incluso,   sin   aparente   organización,   ya   que   la repetición   de   los   modelos   dodecafónicos   y   rítmicos   son,   a   lo largo    de    toda    la    obra,    siempre    distintos    -    sobre    todo    los últimos   -,   en   los   que   únicamente   el   cambio   de   tempo   ayuda   a diferenciar,   condensar   o   alargar   el   movimiento   melódico   de   la serie.   Sin   embargo,   al   examinar   más   detenidamente   la   obra   se observa    un    proceso    de    encadenamiento    formal    -    creemos intuitivo   -   que   se   emparenta   absolutamente   con   la   idea   del concierto   clásico,   sobre   todo   en   lo   referente   al   uso   de   dos ideas     contrastantes     que,     aunque     aquí     no     pueden     ser denominadas    como    tema,    son,    sin    embargo,    cabeza    de fragmentos   importantes.   La   primera   de   dichas   ideas   (A)   -   que será   la   que   gobernará   el   resto   de   la   obra   -   es   la   introducida por el clave con un movimiento en forma de arpegiado: Ejemplo 9 La   segunda   idea   (B),   es   la   ejecutada   por   los   instrumentos   de viento,   que   son   respondidos   con   una   idea   semejante   por   los de    cuerda.    En    este    caso    el    movimiento    es    precisamente contrario   a   la   primera   idea,   es   decir,   una   idea   de   notas   largas   y de    gran    expresividad.    El    contraste    entre    ambos    grupos    es evidente    (ejemplos    9    y    10),    incluso    en    el    acompañamiento instrumental   inicial.   Por   supuesto,   hay   un   uso   condicionado por     el     instrumento     solista,     el     cual     resulta     ideal     para movimientos      rápidos,      aunque      poco      aconsejable      para fragmentos   con   notas   tenidas,   ya   que   la   resonancia   de   sus cuerdas se apaga de inmediato. Ejemplo 10 Es    evidente    que    en    una    música    que    responde    a    ideas    de desarrollo   sobre   configuraciones   de   tipo   dodecafónico   como la    que    aquí    tratamos,    no    queda    claro    al    cien    por    cien    la definición   de   dichos   fragmentos   como   ideas   contrastantes   de tipo    temático,    e    incluso    el    lector    puede    pensar    que    dicha definición   es   pura   conjetura.   Sin   embargo,   el   hecho   de   que ambos   fragmentos   resulten   ser   el   inicio   de   un   tempo   distinto, y   que   posean   -   cada   uno   de   ellos   -   un   número   cerrado   de cuatro   compases,   lo   convierte   en   trascendental   en   el   discurso global   de   la   obra,   ya   que   resultarán   claramente   audibles   como tales.   Si   observamos   la   distribución   formal   que   Soler   hace   a   lo largo   del   concierto   (ejemplo   11),   veremos   que   existe   una   cierta connotación   de   forma   sonata   en   su   estructuración,   si   bien   no se    repite    ninguno    de    los    fragmentos    de    forma    literal    - únicamente   la   serie   se   repite   a   lo   largo   de   toda   la   obra   -, siendo esta la única salvedad para no convertirse en tal. En   el   ejemplo   11   aparece   con   claridad   una   combinatoria   de espacio    temporal    en    dos    direcciones:    la    horizontal,    que observa    dos    ideas    distintas,    que    son,    a    su    vez,    las    ideas temáticas    que    rigen    la    obra;    la    vertical:    que    regula    la combinatoria    del    proceso    formal,    también    en    dos    grupos articulados      y      encadenados      uno      tras      otro      que      se complementan   entre   sí.   Por   una   parte,   las   ideas   temáticas   que son   desarrolladas   tras   el   primer   grupo   cadencial   (compases 98   a   255)   se   articulan   del   mismo   modo   que   en   el   inicio,   es decir,    utilizando    la    combinación    de    grupos    de    importancia distintos.    En    la    exposición    temática    el    orden    era    clave- instrumentos,   y   en   el   grupo   de   desarrollo   es   instrumentos- clave.   Por   otra   parte,   los   grupos   cadenciales   se   encadenan siempre   tras   los   de   exposición   y   desarrollo   temático   y   a   modo de   material   intermedio,   pero   siempre   cadencial.   En   el   primer grupo   coexiste,   además,   una   simetría   cadencial,   en   la   que   se inicia   con   cadencia   y   se   termina   con   cadencia   (compases   71   a 98). Ejemplo 11 Resulta    curioso    observar    también,    que    el    encadenamiento formal   y   su   distribución   siempre   tienen   que   ver   con   alguna culminación   instrumental,   ya   sea   utilizando   una   masificación textural   -   de   igual   modo   a   la   que   encontrábamos   en   Sonidos de   la   noche   -   o   mediante   el   uso   del   accelerando.   Sin   embargo, a   la   culminación   más   importante   de   la   obra   se   llega   mediante el   uso   de   los   multifónicos   en   el   oboe   al   final   del   desarrollo con   clave,   cuyo   uso   es   algo   inhabitual   en   la   música   de   Soler, quien   huye   de   la   idea   de   ruido   -   inevitable   con   el   uso   de   los multifónicos   -   para   utilizar   medios   más   convencionales.   De hecho,   este   fragmento   contiene   en   sí   mismo   un   microcosmos formal-constructivo que a continuación presentamos. Ejemplo 12 De   nuevo,   al   igual   que   en   el   primer   grupo   cadencial   (compases 71   a   98),   aparece   una   distribución   de   simetría,   en   la   que   juega un    rol    importante    el    instrumento    solista,    el    cual    se    halla distribuido   como   instrumento   solo   y   sin   acompañamiento   a   lo largo   de   todo   el   fragmento,   mediante   dos   intervenciones   de únicamente   dos   compases   cada   una;   una   al   inicio   y   otra   al final   de   dicho   desarrollo   -   que   culmina   en   el   compás   226   -, reduciéndose   la   tensión   a   partir   de   ahí   y   hasta   el   compás   255. En el resto, el Clave participa como un instrumento más. LA SERIE A   diferencia   de   Sonidos   de   la   noche,   el   Concierto   para   clavecín utiliza   una   sola   serie,   sobre   la   que   se   basa   todo   el   medio   de articulación   interválica   tanto   horizontal   como   vertical.   La   serie es,    en    este    caso,    parecida    a    la    que    ya    encontrábamos    en Sonidos    de    la    noche,    sobre    todo    en    lo    referente    a    su articulación   interna   o,   lo   que   es   lo   mismo,   en   el   uso   simétrico de los intervalos. Ejemplo 13 En   este   caso   se   utiliza   una   combinación   de   intervalos   a   modo de   engranaje   melódico   de   segunda   mayor   y   menor   frente   a los   de   tercera   menor,   los   cuales   sirven   a   su   vez   para   unir   a   los de   tritono   que,   de   algún   modo,   gobiernan   la   obra.   No   vamos   a agotar    aquí    al    lector    con    una    descripción    de    todas    las disposiciones   seriales,   ya   que   resultaría   demasiado   pesado.   En todo   caso,   vamos   a   limitarnos   a   citar   las   que   creemos   más importantes.     Dada     la     obviedad     de     la     articulación     serial utilizada   en   la   idea   B   del   concierto   vamos   a   omitir   su   análisis, realizándolo     sobre     otros     fragmentos     de     mayor     interés analítico. El   engranaje   serial   queda   reflejado   en   los   cuatro   compases iniciales,    en    los    que    coexiste    una    disposición    vertical    y horizontal   entre   el   grupo   instrumental   e   instrumento   solista respectivamente. Ejemplo 14(19) Si    bien    la    disposición    horizontal    es    mantenida    desde    el principio   hasta   el   fin   del   fragmento   citado,   esta   únicamente   es utilizada   en   el   inicio,   y   continuada   por   el   clarinete   bajo,   aunque no   será   completada   en   su   totalidad.   Puede   observarse   cómo Soler    mantiene    una    relativa    fidelidad    a    la    serie    original,    y utiliza      a      menudo      la      omisión      del      sonido      3      (La), intercambiándolo   por   el   sonido   8   (Si),   algo   que   ocurrirá   a   lo largo   de   toda   la   obra.   De   hecho,   parece   tratarse   de   un   error aprovechado   como   medio   de   conseguir   variedad,   aunque   esta sea   limitada.   Por   paradójico   que   pueda   parecer,   en   el   resto   de la   obra   Soler   no   utiliza   ninguna   combinación   de   la   serie,   ni siquiera     las     básicas     de     retrogradación     e     inversión,     y únicamente   se   limita   a   usar   las   combinaciones   fragmentarias de   esta,   de   modo   semejante   al   de   Sonidos   de   la   noche.   El propósito   de   Soler   es   desarrollar   al   máximo   las   posibilidades de   la   serie   en   su   forma   original,   y   utilizarla   a   modo   de   tema. Algo   así   ocurre   en   el   compás   154,   a   partir   del   desarrollo   del clave,   en   el   que   encontramos   la   serie   combinada   mediante una superposición vertical. Ejemplo 15 Si   bien   todas   las   combinaciones   inteválicas   tienen   de   una   u otra    forma    una    conexión    con    la    serie,    lo    que    escapa    al raciocinio   del   uso   interválico   dodecafónico   es   el   uso   de   los multifónicos,    que    por    su    composición    interna    no    pueden organizarse   según   sus   planteamientos   -   el   uso   de   cuartos   de tono    es    algo    que    Soler    no    tiene    en    cuenta    como    parte integrante   de   la   serie   -.   Dichos   multifónicos   aparecen   como una   necesidad   de   crear   cierta   confusión   sonora   que,   junto   al uso   de   los   acordes   de   segunda   menor   y   séptima   mayor   de   la viola,   el   tempo   rápido   del   fragmento,   crea   una   culminación sonoro-textural    de    enorme    brutalidad,    que    es,    además,    la cumbre    de    la    obra    -    no    hay    otro    fragmento    en    el    que    se utilicen   medios   de   tal   envergadura   -.   La   combinación   de   la serie    se    realiza,    sin    embargo,    de    igual    modo    que    en    los anteriores fragmentos. Ejemplo 16 ELEMENTOS DE TEXTURA HOMOFONA A   pesar   de   que   la   obra   mantiene   siempre   una   distribución horizontal   de   la   serie,   subsisten   en   ella   unas   combinaciones en   forma   de   acordes   que   serán   punto   de   partida   y   de   lenta progresión    hacia    la    creación    y    estabilización    del    lenguaje armónico   de   su   segunda   etapa   compositiva.   Estos   elementos armónicos    son    generados    por    la    propia    combinación    de    la serie,   ya   que   al   organizarse   mediante   intervalos   de   tritono, resultan    ideales    para    conseguir    combinaciones    de    carácter consonante    que,    si    bien    integradas    en    el    contexto,    no    se mantienen como tales. La   primera   combinación   acordal   es   la   que   inaugura   la   pieza. En   ella   se   utilizan   los   cinco   últimos   sonidos   de   la   serie,   que será repetida al final de la idea A en el Clave. Ejemplo 17 A    lo    largo    de    ella    la    disposición    acordal    se    realiza    con combinaciones      interválicas      parecidas,      siendo      la      más significativa   la   aparecida   en   el   Lento   del   final   de   la   cadenza (compás 71). Ejemplo 18 Obsérvese   cómo   en   los   dos   primeros   acordes   aparece   una combinación   de   la   serie   nota   a   nota,   si   bien   en   el   último   se mantienen   sólo   algunos   gestos,   ya   que   la   serie   ha   sido,   en este   caso,   disgregada.   La   combinación   acordal   no   tiene,   sin embargo,   una   disposición   estable   que   permita   de   uno   u   otro modo   realizar   encadenamientos   similares   en   el   resto   la   obra, siendo   estos   ordenados   únicamente   mediante   la   combinación serial. La    obra    mantiene,    a    pesar    de    ello,    ciertos    fragmentos    de textura    rítmica    homófona    que    merecen    ser    remarcados, aunque   sea   sólo   por   el   contraste   que   representan   frente   al resto,   de   escritura   eminentemente   horizontal,   y   en   la   que   lo vertical       es       una       consecuencia       de       aquella.       Como verdaderamente   remarcable,   tenemos   el   fragmento   que   va desde   el   compás   128   al   133.   Aunque   existen   otros   fragmentos de   homofonía   entre   grupos   de   dos   o   tres   instrumentos,   no son   enumerables   como   tales,   ya   que   a   menudo   se   utilizan   en los   procesos   cadenciales.   El   fragmento   anteriormente   citado recuerda,    en    algún    momento,    las    partes    homófonas    del Concierto para clavecín de Falla. Manuel de Falla: Concierto para clavecín. © Ed. Max Eschig. Ejemplo 19 También      Falla      utilizaba      estos      fragmentos      homófonos esporádicamente,   aunque   en   mayor   grado   que   en   Soler.   De hecho,    Soler    utiliza    este    fragmento    como    la    culminación intermedia   del   desarrollo   instrumental   -   al   igual   que   en   el desarrollo   del   solista   se   utilizará   la   culminación   textural   con sonidos    multifónicos    en    los    instrumentos    de    viento    -.    Sin embargo,   en   ningún   momento   se   abandona   la   textura   serial,   si bien   su   combinación   es   compleja   y   no   tiene   una   articulación continua   que   pueda   ser   utilizada   como   medio   de   seguimiento (ejemplo 20) No   se   puede   hablar,   tampoco,   de   un   uso   rítmico   específico, elaborado   expresamente   para   el   fragmento   ya   que   los   ritmos utilizados   son,   en   realidad,   derivados   siempre   de   uno   mismo, realizando      un      desplazamiento      que      irá      poco      a      poco acentuándose,   y   que   será   con   el   que   culminará   dicha   sección (ejemplo 21). Ejemplo 20 Ejemplo 21 El   procedimiento   es,   pues,   una   consecuencia   lógica   del   uso serial,    en    el    que    el    proceso    de    encadenamiento    horizontal prima    por    encima    de    todo,    tratado    de    forma    tal    que    se comporta   como   una   melodía   infinita,   algo   que   por   otra   parte será   punto   de   partida   y   de   elaboración   en   la   etapa   del   acorde wagneriano.   En   la   obra   se   observa,   además,   la   necesidad   de expresión   intuitiva,   en   la   que   lo   formal   y   lo   que   tiene   que   ver con    procedimientos    complejos    de    elaboración    del    material, quedan       expresamente       al       margen       de       un       discurso pretendidamente   simple   y   directo.   Este   uso,   y   la   inseguridad que   de   él   pueda   extraerse,   podría   ser   el   origen   de   la   necesidad de   buscar   un   medio   unitario,   que   sintetizara   y   condujera   de forma   más   clara   la   direccionalidad   musical,   y   este   fue   muy probablemente   el   punto   de   partida   a   la   hora   de   utilizar   un procedimiento    que    reuniera    la    particularidad    del    control vertical,   frente   al   horizontal   -   del   mismo   modo   que   el   uso   de la   armonía   en   la   música   tonal   -,   el   cual   era   por   otra   parte   el que primaba en la etapa dodecafónica. Notas: 1   Bruach,   Agustí:   Artículo   titulado   "Josep   Soler   o   la   creación   como   exégesis" aparecido   en   el   programa   de   mano   de   los   conciertos-homenaje   realizados   en Octubre y Noviembre de 1994. Ed. Fundación "La Caixa". Pág. 51. 2   Marco,   Tomás:   Historia   de   la   música   española.   VI,   Siglo   XX.   Madrid   1989.   Ed. Alianza Música. Pág. 240. 3    Casares,    Emilio:    14    compositores    españoles    de    hoy.    Oviedo    1982.    Ed. Publicaciones de la Universidad de Oviedo, Colección Ethos Música nº 9. Pág. 445. 4    Casares,    Emilio:    14    compositores    españoles    de    hoy.    Oviedo    1982.    Ed. Publicaciones   de   le   Universidad   de   Oviedo,   Colección   Ethos   Música   nº   9.   Pág. 447. 5 Ibídem, pág. 445 6 Benet, Sebastián: El correo de las Artes. Barcelona Febrero de 1960. 7    Casares,    Emilio:    14    compositores    españoles    de    hoy.    Oviedo    1982.    Ed. Publicaciones   de   le   Universidad   de   Oviedo,   Colección   Ethos   Música   nº   9.   Pág. 460. 8 Ibídem, Pág. 459. 9   Bruach,   Agustí:   Análisi   d'un   quartet   de   Josep   Soler.   Trabajo   de   investigación, UAB, 1992. 10    Casares,    Emilio:    14    compositores    españoles    de    hoy.    Oviedo    1982.    Ed. Publicaciones   de   le   Universidad   de   Oviedo,   Colección   Ethos   Música   nº   9.   Pág. 465. 11 Ibídem, pág. 464. 13   Medina,   A.:   Artículo   realizado   por   el   propio   Josep   Soler   sobre   su   lenguaje musical. Ed. Universidad de Oviedo, (en preparación). 14   Medina,   A.:   Artículo   realizado   por   el   propio   Josep   Soler   sobre   su   lenguaje musical. Ed. Universidad de Oviedo, (en preparación). 15 Ibídem. 16    Casares,    Emilio:    14    compositores    españoles    de    hoy.    Oviedo    1982.    Ed. Publicaciones de le Universidad de Oviedo, Colección Ethos Música nº 9. Pág. 44 17   Este   análisis   se   encuentra   en   el   libro   "Fuga,   técnica   e   historia"   del   propio compositor. Barcelona 1980. Ed. Antoni Bosch. 18    Schoenberg,    Arnold:    Style    and    Idea.    Theory    of    form.    Ed.    University    of California Press. Pág. 253. 19 La partitura se halla transportada.
© 2002, Agustín Charles Soler. Todos los derechos son propiedad del autor
Agustín Charles